@anonimo_ade

Estudios: Grado en Derecho (UAL) ...Mostrar más

462 Publicaciones

20.36k Interacciones

18 Seguidores

0 Siguiendo

Lista de publicaciones de anonimo_ade

He publicado nuevos apuntes de 4º Derecho de Familia y Sucesiones: Bloque-1-Derecho-de-Familia.pdf

20 páginas

He publicado nuevos apuntes de 3º Investigación de Mercados: TEST-IM.pdf

21 páginas

He publicado nuevos apuntes de 3º Investigación de Mercados: tema-1-im.pdf

7 páginas

He publicado nuevos apuntes de 3º Derecho del Trabajo y de la Seguridad Social: TEMA-1.pdf

13 páginas

He publicado nuevos apuntes de 3º Derecho del Trabajo y de la Seguridad Social: TEMA-4-AL-10.pdf

88 páginas

He publicado nuevos test de 3º Dirección Financiera II: Inversión: TEMA-1.pdf

10 páginas

He publicado nuevos apuntes de 4º Derecho de Familia y Sucesiones: Derecho-de-Sucesiones.pdf

66 páginas

He publicado nuevos apuntes de 4º Derecho de Familia y Sucesiones: Derecho-de-Sucesiones-II.pdf

29 páginas

He publicado nuevos examenes de 4º Gestión de la Calidad: TEST-GESTION-DE-LA-CALIDAD.pdf

77 páginas

He publicado nuevos examenes de 3º Dirección de Operaciones I: TEST-DE-DO.pdf

73 páginas

apuntes

-

Bloque I

He publicado nuevos apuntes de 3º Economía Mundial: Bloque I

Tema-1.pdf

apuntes

-

Temas completos

He publicado nuevos apuntes de 3º Contabilidad Avanzada: Temas completos

LA-INFORMACION-CONTABLE-LOS-ESTAODS-CONTABLES-PROFORMA.pdf
temas-1-al-3-y-11.pdf
LA-RENTABILIDAD-CONCEPTOS-BASICOS.pdf

practicas

-

Práctica tema 2 y 3

He publicado nuevos practicas de 3º Dirección Financiera I: Financiación: Práctica tema 2 y 3

Practica-tema-2-y-3.xlsx
Cuaderno-de-Practicas-Tema-4-plantilla-bis1-2.xlsx

ejercicios

-

Ejercicios Control de Gestión

He publicado nuevos ejercicios de 3º Control de Gestión: Ejercicios Control de Gestión

Ejercicios-del-tema-2-Control-de-la-gestion-.pdf

apuntes

-

Temas completos

He publicado nuevos apuntes de 2º Derecho Penal Español: Parte Especial I: Temas completos

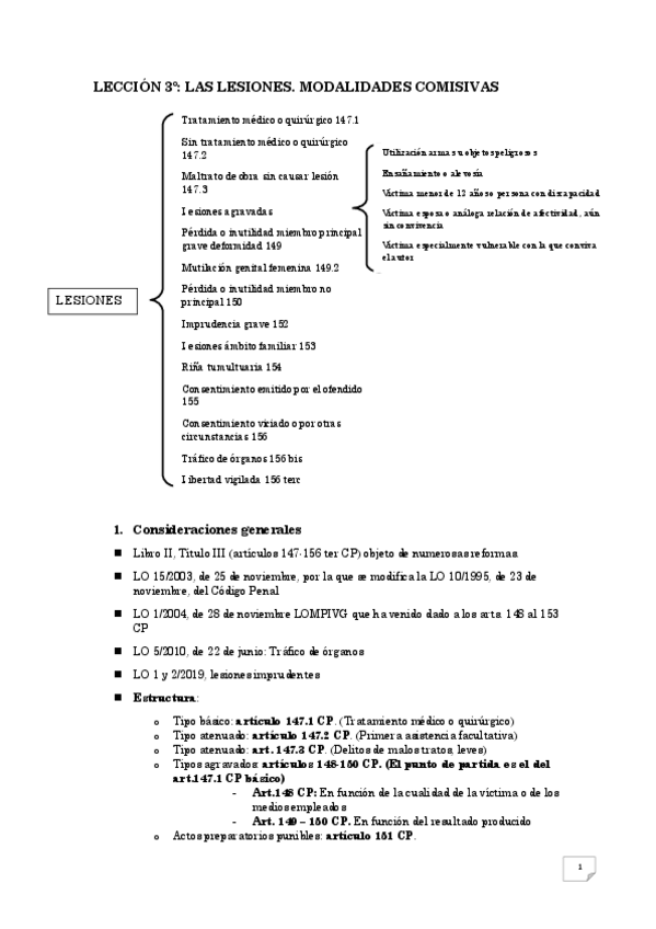
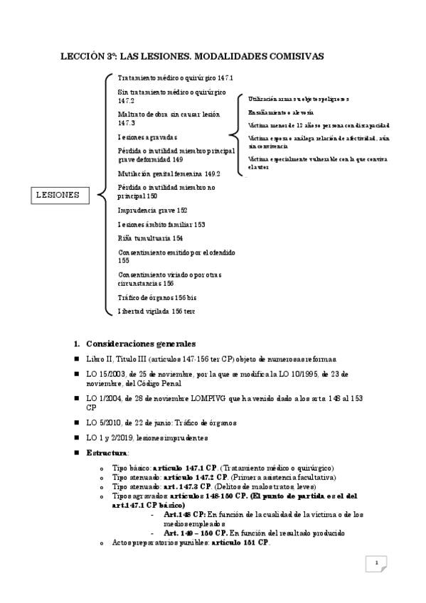
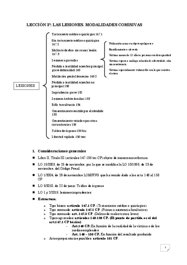
LECCION-1a-3.pdf
LECCION-2o-3.pdf
LECCION-2o-1.pdf
LECCION-2o-2-1.pdf
LECCION-1a-2-1.pdf

apuntes

-

Temas completos

He publicado nuevos apuntes de 2º Derecho Penal Español: Parte Especial I: Temas completos

LECCION-1a-3.pdf
LECCION-2o-1.pdf
LECCION-2o-2.pdf
LECCION-1a-2-1.pdf
LECCION-2o-2-1.pdf

apuntes

-

Temas completos

He publicado nuevos apuntes de 2º Diseño de la Organización: Temas completos

Que-es-una-Organizacion-1.pdf
TEMA-5-1.pdf
Que-es-una-Organizacion-3.pdf
Que-es-una-Organizacion-2.pdf
Que-es-una-Organizacion-2-1.pdf

apuntes

-

TEMAS COMPLETOS

He publicado nuevos apuntes de 2º Diseño de la Organización: TEMAS COMPLETOS

Que-es-una-Organizacion-1.pdf
TEMA-5-1.pdf
Que-es-una-Organizacion-2.pdf
Que-es-una-Organizacion-3.pdf
Que-es-una-Organizacion-2-1.pdf

apuntes

-

Temas completos

He publicado nuevos apuntes de 2º Derecho Internacional Público: Temas completos

Esquema-tema-1-1.pdf
Actividad-2.pdf
Esquema-tema-4.pdf
Esquema-tema-5.pdf
Esquema-tema-3.pdf

apuntes

-

Temas completos

He publicado nuevos apuntes de 1º Derecho Internacional Público: Temas completos

Esquema-tema-1-1.pdf
Actividad-2.pdf
Esquema-tema-3.pdf
Esquema-tema-4.pdf
Esquema-tema-5.pdf