@anonym_466

21 Publicaciones

737 Interacciones

0 Seguidores

0 Siguiendo

Lista de publicaciones de anonym_466

test

-

Test Repaso

He publicado nuevos test de 1º Estadística: Test Repaso

Test_1.zip
Test_2.zip

He publicado nuevos practicas de 1º Fundamentos de Computadores: EPD_2.zip

zip

He publicado nuevos apuntes de 1º Cálculo: Sesion1(Sucesiones).pdf

4 páginas

He publicado nuevos practicas de 1º Fundamentos de Computadores: EPD_3.pdf

27 páginas

He publicado nuevos apuntes de 1º Cálculo: Sesion4(LimiteFunciones).pdf

4 páginas

He publicado nuevos apuntes de 1º Cálculo: Sesion1(Sucesiones).pdf

4 páginas

He publicado nuevos trabajos de 1º Fundamentos de Computadores: EPD_1.pdf

10 páginas

He publicado nuevos apuntes de 1º Cálculo: Sesion2(LimitesInduccion).pdf

5 páginas

test

-

Test Repaso Bloques

He publicado nuevos test de 1º Fundamentos de Computadores: Test Repaso Bloques

Test_Bloque_1.pdf
Test_Bloque_2.pdf
Test_Bloque_3.pdf
Test_Bloque_4.pdf

He publicado nuevos practicas de 1º Fundamentos de Computadores: EPD_5.pdf

23 páginas

He publicado nuevos apuntes de 1º Cálculo: Sesion3(Series).pdf

5 páginas

He publicado nuevos practicas de 1º Fundamentos de Computadores: EPD4.pdf

14 páginas

epd 7

23 páginas

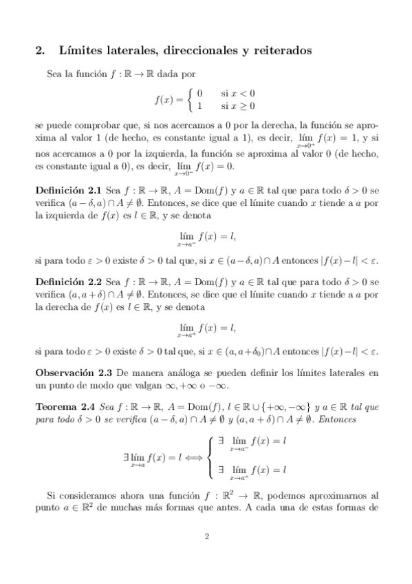
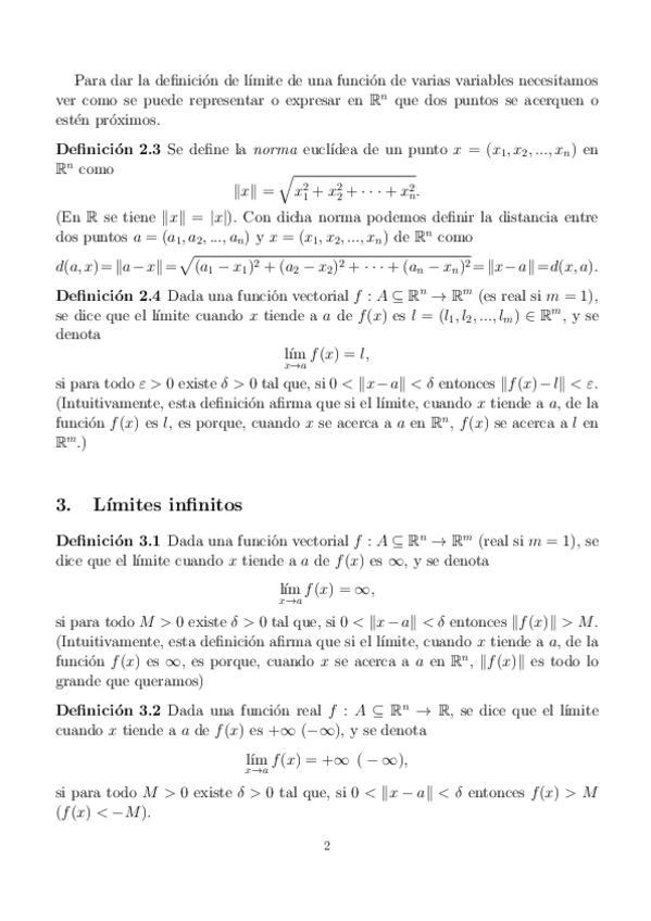
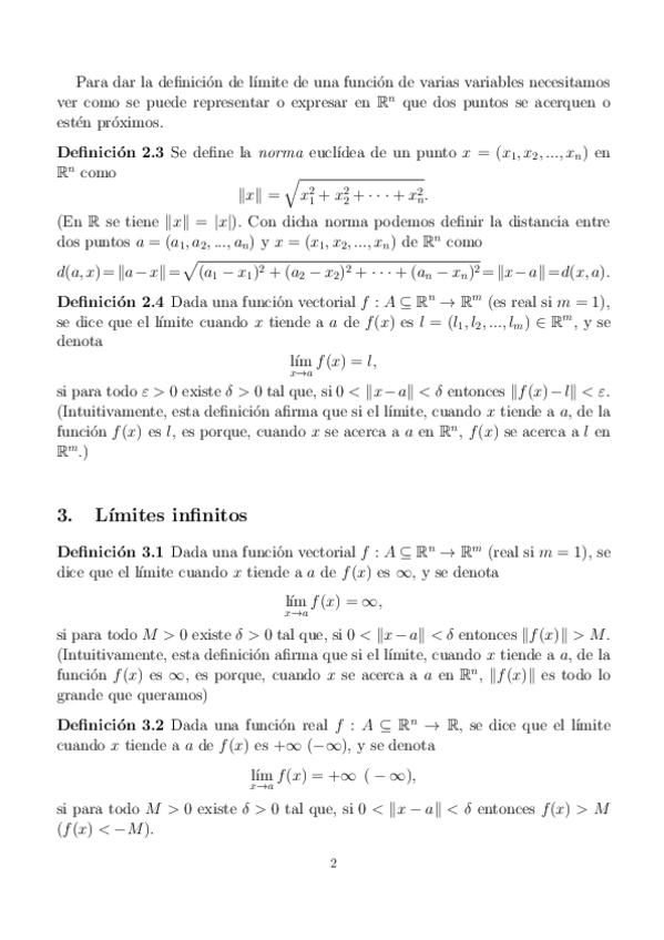
He publicado nuevos apuntes de 1º Cálculo: Sesion5(LimiteFunciones).pdf

4 páginas

He publicado nuevos apuntes de 1º Cálculo: Sesion6(Continuidad-Diferenciabilidad).pdf

6 páginas

Motorola 68000

26 páginas

epd 6

Miniatura no disponible
zip