@Antonio316

Bio: Un poquito de por favoh...

83 Publicaciones

7.07k Interacciones

1 Seguidores

0 Siguiendo

Lista de publicaciones de Antonio316

examenes

-

Relación de Ejercicios

He publicado nuevos examenes de 4º Soldadura: Relación de Ejercicios

Ejercicios-Tema-3.pdf
Ejercicios-Tema-2.pdf
Ejercicios-Tema-18.pdf

examenes

-

Ejercicios Autoevaluacion

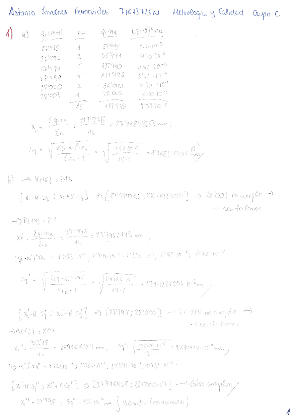
He publicado nuevos examenes de 4º Metrología y Calidad: Ejercicios Autoevaluacion

Ejercicio1.pdf
Ejercicio3.pdf
Ejercicio2.pdf

apuntes

-

Resumen Temas Teóricos (1-22)

He publicado nuevos apuntes de 4º Soldadura: Resumen Temas Teóricos (1-22)

Temas-1-11.pdf
Temas-12-21.pdf

He publicado nuevos test de 4º Motores Térmicos: Recopilacion-preguntas-tipo-test.pdf

20 páginas

He publicado nuevos apuntes de 1º Expresión Gráfica en la Ingeniería: Apuntes-importantes-para-examen.pdf

16 páginas

ejercicios

-

Ejercicios resueltos cuaderno y exámenes

He publicado nuevos ejercicios de 1º Expresión Gráfica en la Ingeniería: Ejercicios resueltos cuaderno y exámenes

Ejercicios-resueltos-de-Axonometrico.pdf
Ejercicios-resueltos-de-Metrica.pdf
Ejercicios-resueltos-de-Diedrico.pdf
Ejercicios-resueltos-de-Cubiertas.pdf

test

-

Test de todas las prácticas

He publicado nuevos test de 4º Mecánica Experimental y Técnicas de Simulación de Máquinas: Test de todas las prácticas

Cuestiones-resueltas-Practica-8.pdf
Cuestiones-resueltas-Practica-2.pdf
Cuestiones-resueltas-Practica-3.pdf
Cuestiones-resueltas-de-la-Practica-7.pdf
Cuestiones-resueltas-Practica-5.pdf
Cuestiones-resueltas-Practica-1.pdf

apuntes

-

Apuntes teoría por temas II

He publicado nuevos apuntes de 3º Tecnología de Fabricación: Apuntes teoría por temas II

PREGUNTAS-11-FUNDAMENTOS-DEL-CN.pdf
PREGUNTAS-17-CONFORMADO-POR-DEFORMACION-PLASTICA-I.pdf
PREGUNTAS-16-PROGRAMACION-AUTOMATICA-DE-CN.pdf
PREGUNTAS-14-PROGRAMACION-DE-FRESADORAS-DE-CN.pdf
PREGUNTAS-18-CONFORMADO-POR-DEFORMACION-PLASTICA-II.pdf
PREGUNTAS-13-PROGRAMACION-ISO-DE-TORNOS-DE-CN.pdf

apuntes

-

Apuntes teoría por temas I

He publicado nuevos apuntes de 3º Tecnología de Fabricación: Apuntes teoría por temas I

PREGUNTAS-6-DESGASTE-Y-VIDA-DE-HERRAMIENTAS-DE-CORTE.pdf
PREGUNTAS-1-INTRODUCCION-TECNOLOGIA-DE-FABRICACION.pdf
PREGUNTAS-4-MATERIALES-PARA-HERRAMIENTAS-DE-CORTE.pdf
PREGUNTAS-5-ROZAMIENTO-Y-FENOMENOS-TERMICOS-EN-CORTE.pdf
PREGUNTAS-10-PROCESOS-DE-MECANIZADO-NO-CONVENCIONALES.pdf
PREGUNTAS-9-ASPECTOS-GENERALES-DEL-FRESADO.pdf