@aprobaditos2

14 Publicaciones

384 Interacciones

3 Seguidores

0 Siguiendo

Lista de publicaciones de aprobaditos2

He publicado nuevos ejercicios de 2º Teoría de Máquinas: Ejercicio-propuesto-1.pdf

7 páginas

He publicado nuevos examenes de 1º Cálculo: Examen-Resuelto-febrero-2025.pdf

10 páginas

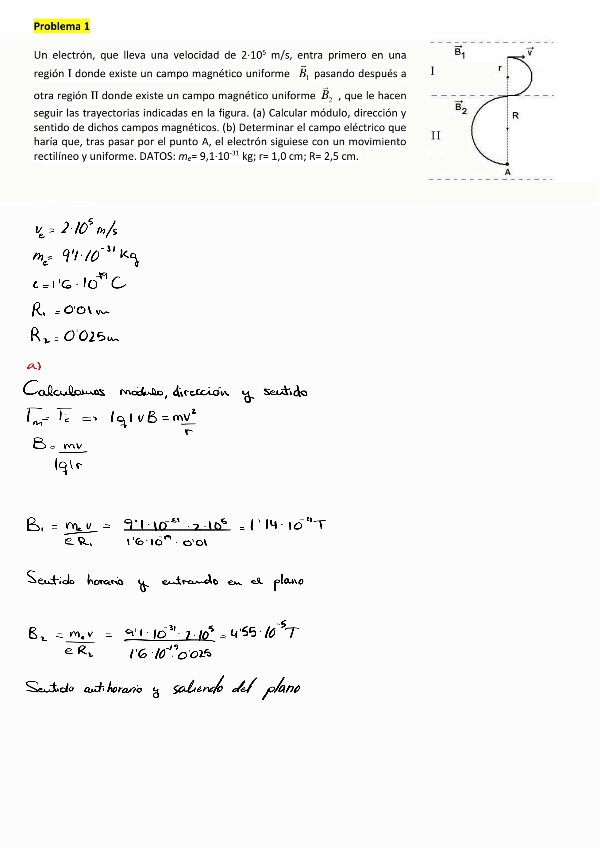
Todos los ejercicios de la relacion tema 4-5 (Campo Magnético)

18 páginas

He publicado nuevos ejercicios de 1º Física II: Tarea-5a.pdf

3 páginas

He publicado nuevos apuntes de 1º Física II: Tarea-4.pdf

4 páginas

He publicado nuevos apuntes de 1º Ampliación de Cálculo: Tarea-3.pdf

4 páginas

He publicado nuevos ejercicios de 1º Ampliación de Cálculo: Tarea-2.pdf

4 páginas

He publicado nuevos apuntes de 1º Física II: Tarea-2a.pdf

2 páginas

He publicado nuevos ejercicios de 1º Ampliación de Cálculo: Tarea-1.pdf

2 páginas

He publicado nuevos ejercicios de 1º Física II: Tarea-1b.pdf

2 páginas

He publicado nuevos ejercicios de 1º Física II: Tarea-a1.pdf

4 páginas

He publicado nuevos practicas de 1º Cálculo: practica-final-calculo.pdf

21 páginas

He publicado nuevos apuntes de 1º Álgebra Lineal: Geometria-analitica-ejercicios-y-teoria.PDF

114 páginas

He publicado nuevos apuntes de 1º Álgebra Lineal: Resumen-completo-algebra-lineal-ejercicios-y-apuntes.pdf

99 páginas