@Aprobaditox

Estudios: Grado en Matemáticas (US) ...Mostrar más

Bio: Hola chicos!! Tengo apuntes, ejercicios resueltos, exámenes resueltos y muchas cositas interesantes. Pasaos por mis carpetas. Acepto peticiones. Ayudare en lo que pueda. Ánimo con los estudios!! :)

1.13k Publicaciones

25.45k Interacciones

34 Seguidores

6 Siguiendo

Lista de publicaciones de Aprobaditox

examenes

-

RESUELTOS EXAMENES

He publicado nuevos examenes de 3º Teoría de Códigos y Criptografía: RESUELTOS EXAMENES

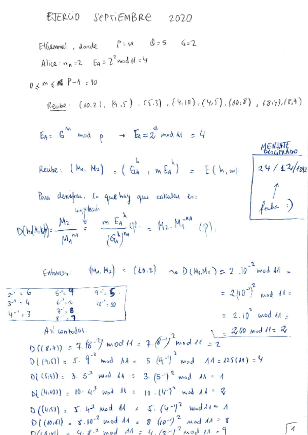
RESUELTO-ALGUNOS-EJERCICIOS-DE-EXAMEN-CRIPTO.pdf

ejercicios

-

RESUELTOS EJERCICIOS

He publicado nuevos ejercicios de 3º Teoría de Códigos y Criptografía: RESUELTOS EJERCICIOS

RESUELTO-BOLETIN-2-CRIPTO.pdf
RESUELTO-BOLETIN-3-CRIPTO.pdf
RESUELTO-BOLETIN-4-CRIPTO.pdf
RESUELTO-BOLETIN-1-CRIPTO.pdf

examenes

-

RESUELTOS EXAMENES geometria

He publicado nuevos examenes de 3º Geometría y Topología de Superficies: RESUELTOS EXAMENES geometria

RESUELTA-PRUEBA-2020-DICIEMBRE-GTS-GEOMETRIA.pdf
RESUELTO-EXAMEN-1CONV-2020-GTS-GEOMETRIA.pdf
RESUELTO-EXAMEN-2CONV-2020-GTS-GEOMETRIA.pdf
RESUELTO-PRUEBA-2020-GTS-GEOMETRIA.pdf
RESUELTA-PRUEBA-2019-GTS-GEOMETRIA.pdf

examenes

-

RESUELTOS EXAMENES topologia

He publicado nuevos examenes de 3º Geometría y Topología de Superficies: RESUELTOS EXAMENES topologia

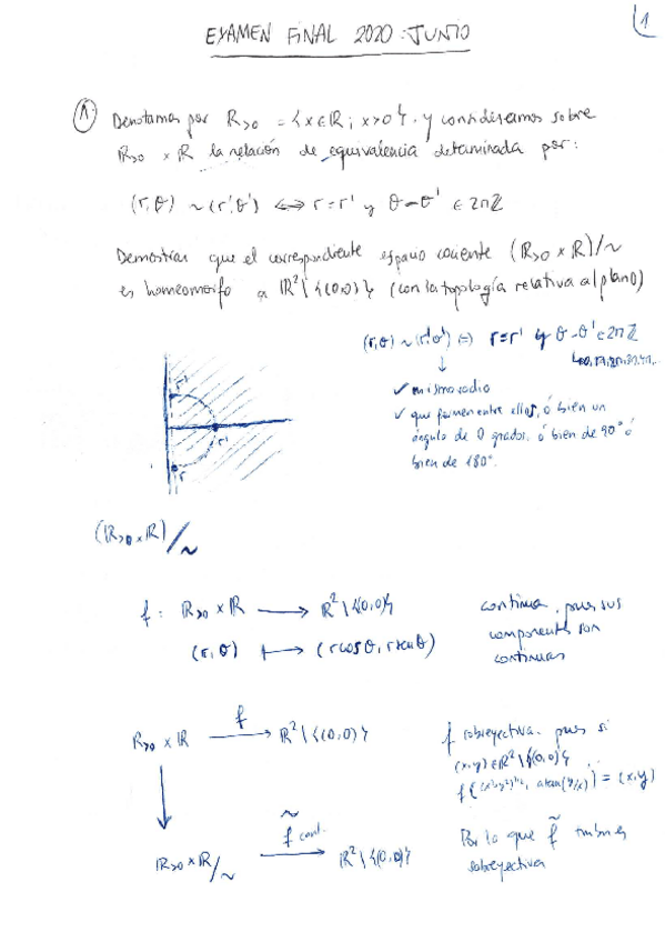
RESUELTO-FINAL-2020-GTS-TOPOLOGIA.pdf
RESUELTO-PREFINAL-2020-GTS-TOPOLOGIA.pdf
PREFINAL-2021-GTS-TOPOLOGIA.pdf

ejercicios

-

RESUELTOS EJERCICIOS topologia

He publicado nuevos ejercicios de 3º Geometría y Topología de Superficies: RESUELTOS EJERCICIOS topologia

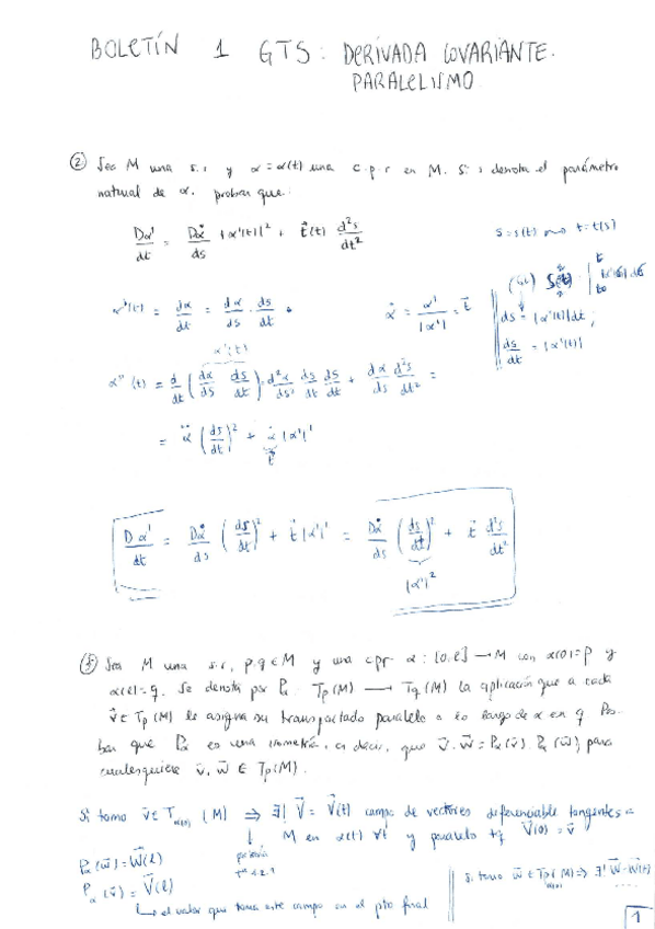
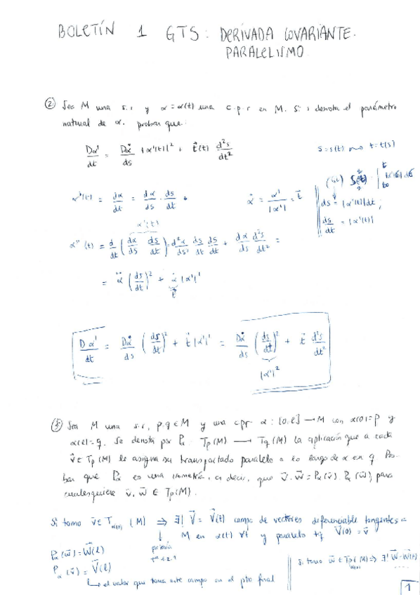
RESUELTA-RELACION-1-GTS-TOPOLOGIA.pdf
RESUELTA-RELACION-2-GTS-TOPOLOGIA.pdf
RESUELTA-RELACION-6-GTS-TOPOLOGIA.pdf
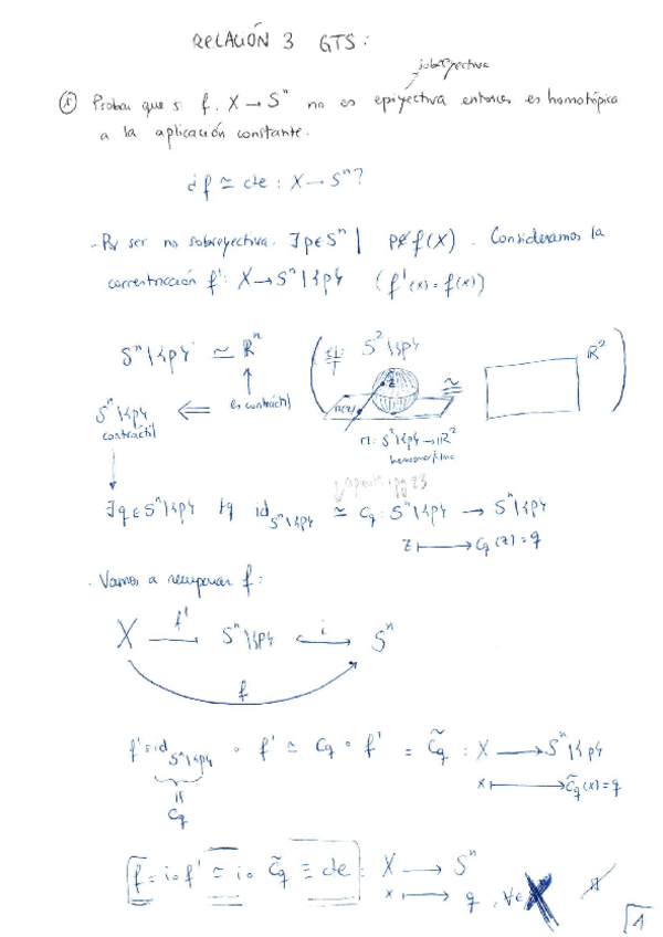
RESUELTA-REELACION-3-GTS-TOPOLOGIA.pdf

ejercicios

-

RESUELTOS EJERCICIOS geometria

He publicado nuevos ejercicios de 3º Geometría y Topología de Superficies: RESUELTOS EJERCICIOS geometria

RESUELTA-RELACION-2-GTS-GEOMETRIA.pdf
RESUELTA-RELACION-1-GTS-GEOMETRIA.pdf

examenes

-

EXAMENES RESUELTOS

He publicado nuevos examenes de 3º Geometría Local de Curvas y Superficies: EXAMENES RESUELTOS

RESUELTO-2aCONVOCATORIA-2019.pdf
RESUELTO-2aCONVOCATORIA-2020.pdf
RESUELTO-PREFINAL-2020-Grupo-A.pdf
RESUELTO-PREFINAL-2021-GRUPO-2.pdf
RESUELTO-1aCONVOCATORIA-2019.pdf
RESUELTO-1aCONVOCATORIA-2020.pdf

Examenes de IE!!

Ejercicios de IE!!

Ejercicios de EA!!

Ejercicios resueltos de GL!!

Exámenes resueltos de GL!!

ejercicios

-

EJERCICIOS RESUELTOS

He publicado nuevos ejercicios de 3º Geometría Local de Curvas y Superficies: EJERCICIOS RESUELTOS

RESUELTOS-EJERCICIOS-T2-GL.pdf
RESUELTOS-EJERCICIOS-T3-GL.pdf
RESUELTOS-EJERCICIOS-T4-GL.pdf
RESUELTOS-EJERCICIOS-T5-GL.pdf
RESUELTOS-EJERCICIOS-T1-GL.pdf

ejercicios

-

EJERCICIOS RESUELTOS

He publicado nuevos ejercicios de 3º Estructuras Algebraicas: EJERCICIOS RESUELTOS

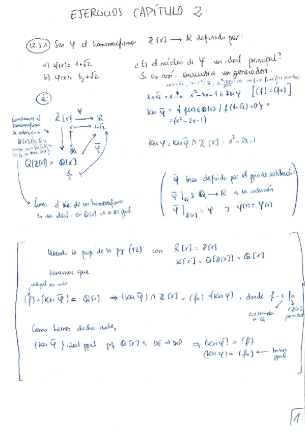
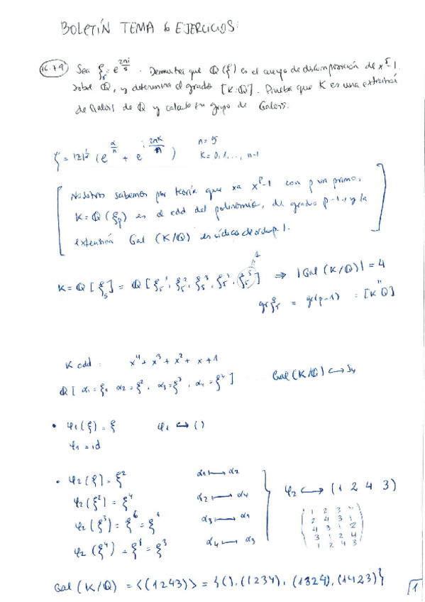
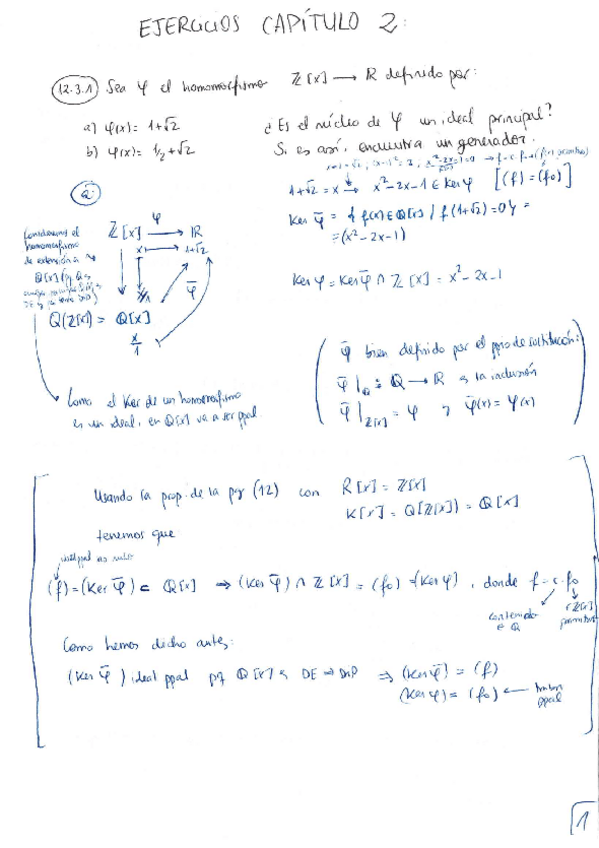
RESUELTO-CAPITULO-2-EA.pdf
RESUELTO-CAPITULO-4-EA.pdf
RESUELTO-CAPITULO-5-EA.pdf
RESUELTO-CAPITULO-6-EA.pdf
RESUELTO-CAPITULO-1-EA.pdf