@AprobadoDeConfi

20 Publicaciones

430 Interacciones

1 Seguidores

0 Siguiendo

Lista de publicaciones de AprobadoDeConfi

He publicado nuevos examenes de 2º Distribución Multidimensionales: Parcial-2021.pdf

4 páginas

He publicado nuevos examenes de 2º Distribución Multidimensionales: Examen-22-01-2021 resuelto.pdf

3 páginas

He publicado nuevos examenes de 2º Distribución Multidimensionales: Parcial-multi-2020-RESUELTO.pdf

4 páginas

He publicado nuevos ejercicios de 1º Cálculo de Probabilidades: Ejercicios-19-30-continuas.pdf

8 páginas

He publicado nuevos ejercicios de 1º Informática II: Practicas-Examen-final.pdf

6 páginas

examenes

-

Examenes corregidos

He publicado nuevos examenes de 1º Álgebra Lineal: Examenes corregidos

Parcial-8-noviembre-2022-problemas.pdf

He publicado nuevos examenes de 1º Álgebra Lineal: Parcial-26-nov-2024-problemas-corregidos.pdf

4 páginas

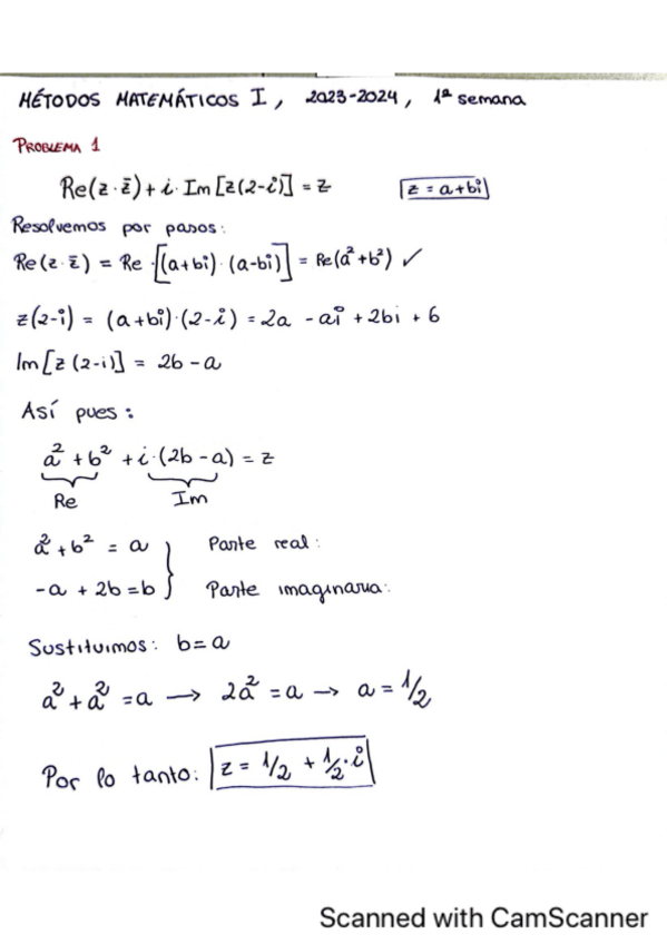
He publicado nuevos examenes de 1º Métodos Matemáticos I: Prob.-1-MM1-2023-2024-1a-sem.pdf

1 página

He publicado nuevos apuntes de 1º Álgebra: Espacios-vectoriales-pdf.pdf

13 páginas

apuntes

-

Apuntes

He publicado nuevos apuntes de 1º Estadística: Apuntes

Tablas.pdf

apuntes

-

Apuntes a mano

He publicado nuevos apuntes de 1º Química: Apuntes a mano

Tema-7-Cinetica.pdf
Tema-2-Sistema-Periodico.pdf