@ApruebaSeguroUS

37 Publicaciones

2.29k Interacciones

5 Seguidores

1 Siguiendo

Lista de publicaciones de ApruebaSeguroUS

He publicado nuevos apuntes de 3º Planificación Financiera de la Empresa: Resumen-teoria-comleta.pdf

8 páginas

He publicado nuevos apuntes de 3º Planificación Financiera de la Empresa: PREGUNTAS-CORTAS-pdf.pdf

7 páginas

Temario completo de valoración resumiendo lo más importante. Con fórmulas y ejemplos

11 páginas

He publicado nuevos apuntes de 4º PYMES y Gestión de la Calidad: Modelo-Servqual-y-Servperf.pdf

4 páginas

He publicado nuevos apuntes de 4º Derecho del Mercado Financiero: Tema-3.pdf

3 páginas

He publicado nuevos apuntes de 4º Derecho del Mercado Financiero: Apuntes-tema-2.pdf

4 páginas

He publicado nuevos apuntes de 4º PYMES y Gestión de la Calidad: Tipos-de-costes-en-gestion-de-calidad.pdf

3 páginas

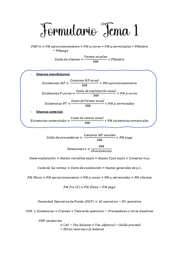
He publicado nuevos apuntes de 3º Finanzas de la Empresa a Corto Plazo: Formulario-tema-1.pdf

2 páginas

He publicado nuevos apuntes de 3º Análisis de Estados Financieros I: Tema-1-Apuntes-PDF.pdf

17 páginas

He publicado nuevos apuntes de 3º Consolidación de Estados Contables: CEC.-Tema-3.pdf

4 páginas

He publicado nuevos apuntes de 3º Consolidación de Estados Contables: CEC.-Tema-2.pdf

11 páginas

He publicado nuevos apuntes de 3º Consolidación de Estados Contables: CEC.-Tema-1.pdf

9 páginas

apuntes

-

IRPF parte 1

He publicado nuevos apuntes de 2º Régimen Fiscal de la Empresa: IRPF parte 1

Apuntes-IRPF-primera-parte.pdf
irpf-I-2022-23.pdf

He publicado nuevos apuntes de 2º Dirección y Organización: Caso-practico-tema-5.pdf

2 páginas

apuntes

-

Tema 6 apuntes y ejercicios

He publicado nuevos apuntes de 1º Introducción a las Finanzas: Tema 6 apuntes y ejercicios

Tema-6-Presentacion.pdf
Apuntes-y-ejercicios-clase.pdf
Supuesto-practico-Sanis-resuelto.pdf
1.pdf

apuntes

-

Tema 5 apuntes y ejercicios

He publicado nuevos apuntes de 1º Introducción a las Finanzas: Tema 5 apuntes y ejercicios

Apuntes-y-ejercicios-resueltos-en-clase.pdf
Presentacion-tema-5.pdf

apuntes

-

Tema 4 apuntes y ejercicios

He publicado nuevos apuntes de 1º Introducción a las Finanzas: Tema 4 apuntes y ejercicios

Apuntes-y-ejercicios.pdf
Presentacion-tema-4.pdf
Casos-propuestos-Tema-4.pdf

apuntes

-

Tema 3 apuntes y ejercicios

He publicado nuevos apuntes de 1º Introducción a las Finanzas: Tema 3 apuntes y ejercicios

TEMA3-presentacion.pdf
ACTIVIDADES-TEMA-3.pdf

apuntes

-

Tema 2 Apuntes y Ejercicios

He publicado nuevos apuntes de 1º Introducción a las Finanzas: Tema 2 Apuntes y Ejercicios

cuadros-de-amortizacion.pdf
Ejercicio-tema-2-acciones-y-mas.pdf
Ejercicios-tema-2.pdf
TEMA2-Libro-tema-1.pdf

He publicado nuevos apuntes de 1º Introducción a las Finanzas: casuisticas-posibles-2o-parcial.pdf

1 página