@apuntes11_

Bio: Estudiante de ciencias políticas y gestión pública en la URJC

28 Publicaciones

235 Interacciones

5 Seguidores

0 Siguiendo

Lista de publicaciones de apuntes11_

He publicado nuevos apuntes de 1º Economía Política I: Economia-I-T3.pdf

7 páginas

Economía Política I

4 páginas

He publicado nuevos apuntes de 1º Economía Política I: Economia-I-T2.pdf

3 páginas

resumen del tema 1 de Economía Política I

4 páginas

He publicado nuevos apuntes de 1º Sociología: sociologia-resumenes-.pdf

35 páginas

He publicado nuevos apuntes de 1º Sociología: GLOSS.-SOCIOLOGIA.-1.pdf

7 páginas

He publicado nuevos apuntes de 1º Deontología Profesional, Igualdad y Principios Jurídicos Básicos: deontologia-t5.pdf

3 páginas

He publicado nuevos apuntes de 1º Deontología Profesional, Igualdad y Principios Jurídicos Básicos: deontologia-T4.pdf

4 páginas

He publicado nuevos apuntes de 1º Deontología Profesional, Igualdad y Principios Jurídicos Básicos: deontologia-t3.pdf

5 páginas

Resumen del tema 2 de Deontología

5 páginas

He publicado nuevos apuntes de 1º Deontología Profesional, Igualdad y Principios Jurídicos Básicos: Deontologia-profesional-igualdad-y-principios-juridicos-basicos.pdf

4 páginas

apuntes sobre ríos de la Península ibérica

2 páginas

práctica de cliserie. Geografía 2 de bachillerato

1 página

Tabla de tipos de relieve de la península ibérica

1 página

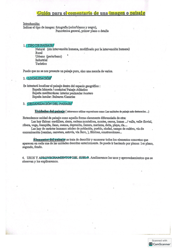
prácticas de geografía (imagen o paisaje)

2 páginas

He publicado nuevos practicas de 2º Geografía: Comentario-de-climograma.pdf

2 páginas

Resumenes de geografía. 2 de bachillerato

2 páginas

Tema 1 de Geografía. 2 de bachillerato

2 páginas

Planos textuales del comentario de texto para selectividad

2 páginas

apuntes

-

Resumenes de literatura de 2 de bachillerato

He publicado nuevos apuntes de 2º Lengua Castellana y Literatura II: Resumenes de literatura de 2 de bachillerato

Realismo-y-naturalismo.-Bachillerato.pdf
Vanguardias-en-Europa.pdf
Novela-espanola-de-1939-a-1975.pdf
Novela-espanola-a-partir-de-1975.-La-ren.pdf
La-lirica-y-el-teatro-posteriores-a-1936.pdf
Generacion-del-98.pdf