@ApuntesADE__

Bio: Holaa, subo apuntes de ADE. Los he hecho yo con el material de clase y aportaciones a mayores de los profesores. Son apuntes muy completos con los que he aprobado. Espero que os sirvan

149 Publicaciones

7.45k Interacciones

38 Seguidores

1 Siguiendo

Lista de publicaciones de ApuntesADE__

examenes

-

EXAMEN HEE

Aprobado garantizado

PREGUNTAS-EXAMEN-HISTORIA-ECONOMICA-DE-LA-EMPRESA.pdf

apuntes

-

TEMAS TEORÍA AUDITORÍA

Señaladas las partes importantes

TEMA-2-AUDITORIA-teoria.pdf
TEMA-3-AUDITORIAteoria.pdf
TEMA-4-AUDITORIA-teoria.pdf
TEMA-1-AUDITORIA-teoria.pdf
EXAMEN-TEORIA-AUDITORIA.pdf

apuntes

-

PRÁCTICAS HISTORIA ECONÓMICA DE LA EMPRESA

Prácticas con sobresaliente

PRACTICA-1-HEE-general-motors.pdf
PRACTICA-2-HEE-integracion-vertical.pdf
PRACTICA-3-HEE-extensa-rockefeller.pdf

examenes

-

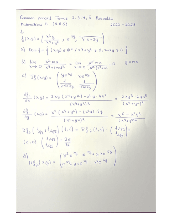
EXAMENES AÑOS ANTERIORES RESUELTOS

He publicado nuevos examenes de 1º Matemáticas II: EXAMENES AÑOS ANTERIORES RESUELTOS

EXAMEN-TEMA-1-MATEMATICAS-II.pdf
EXAMEN-TEMAS-2-3-4-Y-5-MATEMATICAS-II.pdf
EXAMEN-TEMA-6-MATEMATICAS-II.pdf

PARCIAL 1 SECTOR PÚBLICO

En mi perfil el temario de sector público para el primer parcial. Muy bien explicado tomado de apuntes del profesor

PROBLEMAS BOLETÍN FEF

En mi perfil todos los problemas del boletín resueltos con sus pasos y explicaciones. A veces no coincide el número de ejercicio porque lo cambian de orden, pero son los mismos ejercicios

TEMARIO COMPLETO ECONOMÍA ESPAÑOLA EN MI PERFIL, APROBADO GARANTIZADO!!

ejercicios

-

PPROBLEMAS BOLETÍN RESUELTOS

He publicado nuevos ejercicios de 3º Dirección Táctico-Operativa de Operaciones: PPROBLEMAS BOLETÍN RESUELTOS

PROBLEMAS-TEMA-2-RESUELTOS-DTTO.pdf
PROBLEMAS-TEMA-3-RESUELTOS-DTTO.pdf
PROBLEMAS-TEMA-4-RESUELTOS-DTTO.pdf
PROBLEMAS-TEMA-5-RESUELTOS-DTTO.pdf
PROBLEMAS-TEMA-6-RESUELTOS-DTTO.pdf
PROBLEMAS-TEMA-7-RESUELTOS-DTTO.pdf

He publicado nuevos apuntes de 3º Dirección Táctico-Operativa de Operaciones: FORMULARIO-MUY-COMPLETO-DTTO.pdf

16 páginas

examenes

-

EXAMENES AÑOS ANTERIORES

He publicado nuevos examenes de 2º Contabilidad Financiera II: EXAMENES AÑOS ANTERIORES

Examen-Extraordinario-20-21.pdf
Examen-Ordinario-20-21.pdf
EXAMEN-PARCIAL-2022-resuelto.pdf

apuntes

-

PRÁCTICAS

He publicado nuevos apuntes de 2º Derecho Mercantil II: PRÁCTICAS

PRACTICA-4-RESUELTA-individual.pdf
Practica-Noticia-grupal-Resuelta..pdf

apuntes

-

TEORÍA

He publicado nuevos apuntes de 2º Fundamentos de Economía Financiera: TEORÍA

Teoria-tema-1-FEF-importante-examen.pdf

apuntes

-

IVA

He publicado nuevos apuntes de 2º Régimen Fiscal de la Empresa Ii: IVA

PRACTICA-IVA-RESUELTA.pdf

apuntes

-

IMPUESTO SOBRE SOCIEDADES

He publicado nuevos apuntes de 2º Régimen Fiscal de la Empresa Ii: IMPUESTO SOBRE SOCIEDADES

IMPUESTO-SOBRE-SOCIEDADES.pdf
Continuacion-IS.pdf

examenes

-

EXAMENES AÑOS ANTERIORES

He publicado nuevos examenes de 1º Matemáticas II: EXAMENES AÑOS ANTERIORES

Examen-Parcial-Tema-1-1o-ADE-R.A.S.pdf
Examen-Parcial-Temas-2345-1o-ADE-R.A.S.pdf
Examen-Parcial-Tema-6-1o-ADE-R.A.S.pdf

He publicado nuevos examenes de 1º Introducción a la Economia de la Empresa: EXMAMEN-INTRO-EMP-RESUELTO.pdf

4 páginas

apuntes

-

TEMARIO COMPLETO INTRO EMP

He publicado nuevos apuntes de 1º Introducción a la Economia de la Empresa: TEMARIO COMPLETO INTRO EMP

TEMA-3-INTRO-EMP.pdf
TEMA-2-INTRO-EMP.pdf
TEMA-1-INTRO-EMP.pdf
Tema-4-INTRO-EMP.pdf
Tema-5-INTRO-EMP.pdf