@ApuntesEconomia3

17 Publicaciones

414 Interacciones

1 Seguidores

0 Siguiendo

Lista de publicaciones de ApuntesEconomia3

He publicado nuevos apuntes de 2º Microeconomía II: CONDICIÓN DE TAGENCIA.docx

word

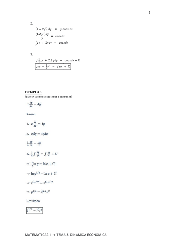
He publicado nuevos apuntes de 1º Matemáticas II: EJEMPLOS EDO.pdf

20 páginas

He publicado nuevos apuntes de 1º Matemáticas II: EJEMPLOS ED.pdf

5 páginas

He publicado nuevos apuntes de 2º Microeconomía II: Ejercicios micro.docx

word

He publicado nuevos apuntes de 2º Microeconomía II: Micro forma dual.docx

word

He publicado nuevos apuntes de 2º Economía del Sector Público I: Tema 2 SP.docx

word

He publicado nuevos apuntes de 2º Economía del Sector Público I: Tema 2 SP.docx

word

He publicado nuevos apuntes de 1º Matemáticas II: MATEMATICAS II. TEMA 3. DINAMICA ECONOMICA.pdf

7 páginas

He publicado nuevos apuntes de 2º Microeconomía II: RELACIÓN ENTRE PRIMAL Y DUAL.docx

word

He publicado nuevos apuntes de 2º Microeconomía II: TEMA 5.docx

word

He publicado nuevos apuntes de 2º Microeconomía II: Ej. Preferencias y utilidad.docx

word

He publicado nuevos apuntes de 1º Matemáticas II: Tema08.pdf

15 páginas

He publicado nuevos apuntes de 1º Matemáticas II: EJEMPLOS ED.pdf

5 páginas

He publicado nuevos apuntes de 2º Economía del Sector Público I: T.1. SP (Ejercicio 2).docx

word

He publicado nuevos apuntes de 2º Economía del Sector Público I: T.1. ¿Qué es la economía del sector público-.pdf

12 páginas

He publicado nuevos apuntes de 2º Economía del Sector Público I: Tema 2 SP.docx

word

He publicado nuevos apuntes de 2º Microeconomía II: Elección con dotaciones..pdf

3 páginas