@apuntesm546

8 Publicaciones

263 Interacciones

2 Seguidores

2 Siguiendo

Lista de publicaciones de apuntesm546

He publicado nuevos apuntes de 3º Modelado y Simulación Numérica: TEORIA-MSN.pdf

7 páginas

He publicado nuevos apuntes de 1º Cálculo Infinitesimal y Numérico: Tema-2.pdf

3 páginas

He publicado nuevos apuntes de 1º Cálculo Infinitesimal y Numérico: TEMA-1.pdf

3 páginas

He publicado nuevos apuntes de 1º Circuitos Electrónicos Digitales: TEMA-4-SUBSISTEMAS-COMBINACIONALES-.pdf

6 páginas

He publicado nuevos apuntes de 1º Circuitos Electrónicos Digitales: TEMA-3-Analisis-y-diseno-de-circuitos-combinacionales-.pdf

3 páginas

He publicado nuevos apuntes de 1º Circuitos Electrónicos Digitales: TEMA-2-REPRESENTACION-BINARIA-.pdf

9 páginas

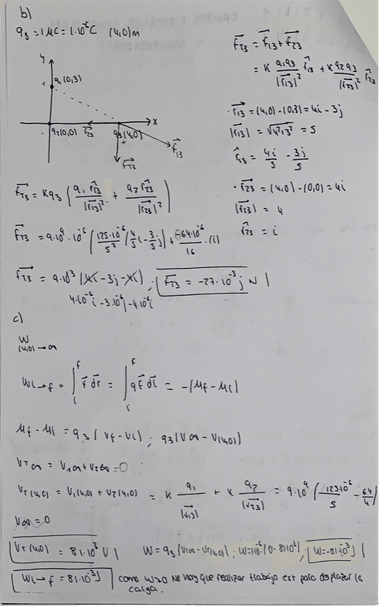
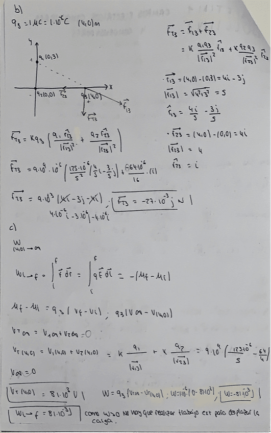
He publicado nuevos apuntes de 1º Fundamentos Físicos de la Informática: BOLETIN-1-ELECTROSTATICA-.pdf

20 páginas

He publicado nuevos apuntes de 1º Fundamentos Físicos de la Informática: TEMA-1-ELECTROSTATICA-.pdf

12 páginas