@apuntesmath_

Estudios: Grado en Matemáticas (UGR) ...Mostrar más

Bio: Estudiante del grado de matemáticas en la UGR

218 Publicaciones

3.84k Interacciones

21 Seguidores

1 Siguiendo

Lista de publicaciones de apuntesmath_

apuntes

-

Capitulo 2: Teoría Local de Superficies

He publicado nuevos apuntes de 2º Curvas y Superficies: Capitulo 2: Teoría Local de Superficies

Tema-2-Funciones-diferenciables-sobre-superficies.pdf
Tema-1-Superficies-regulares.pdf
Tema-3-Plano-Tangente-y-Aplicacion-diferenciable.pdf
Tema 4 Aplicacion-de-Gauss-y-orientacion-en-superficies.pdf.pdf

He publicado nuevos apuntes de 2º Ecuaciones Diferenciales I: Tema-2-Metodos-de-resolucion.pdf

4 páginas

He publicado nuevos apuntes de 2º Ecuaciones Diferenciales I: Tema-1-Ecuaciones-diferenciales-ordinarias.pdf

2 páginas

He publicado nuevos apuntes de 2º Probabilidad: Tema-2-Vectores-aleatorios.pdf

9 páginas

He publicado nuevos apuntes de 2º Mecánica: Tema-2-Potenciales-Centrales.pdf

3 páginas

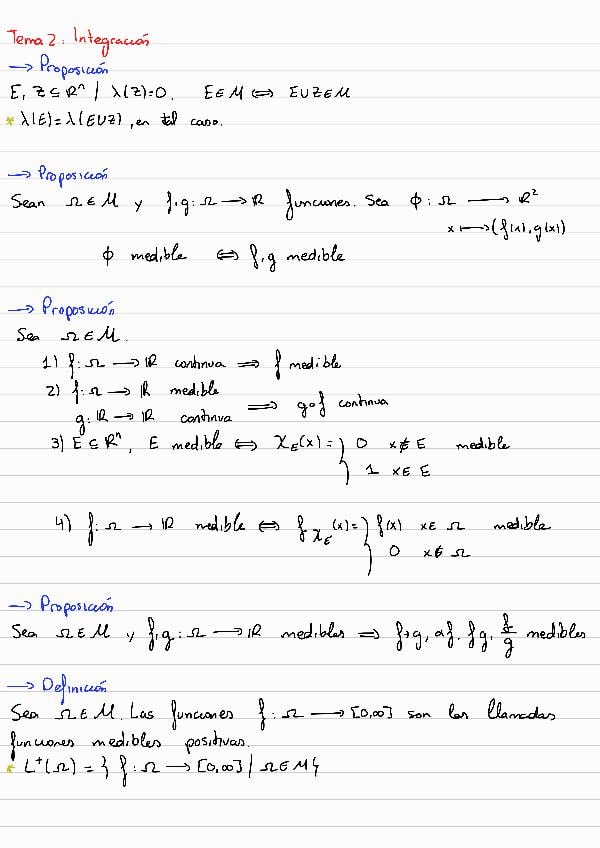
He publicado nuevos apuntes de 2º Análisis Matemático II: Tema-2-Integracion.pdf

3 páginas

Preguntas teoricas tipicas de examen del Capitulo 1 y 2 (Parcial 1)

4 páginas

He publicado nuevos apuntes de 2º Mecánica: Tema-1-Formalismo-lagrangiano.pdf

3 páginas

Resumen de los resultados mas importantes del capítulo 1

5 páginas

Todas las demostraciones que caen en el primer parcial del capitulo 1

6 páginas

apuntes

-

Capitulo 1

He publicado nuevos apuntes de 2º Curvas y Superficies: Capitulo 1

Tema-1-Curvas-parametrizadas.pdf
Tema-2-Curvas-Planas.pdf
Tema-3-Curva-alabeadas-en-R3.pdf

He publicado nuevos apuntes de 2º Probabilidad: Tema-1-Variables-aleatorias-continuas.pdf

5 páginas

Preguntas teoricas de los examenes de los ultimo 5-6 años con todos los enunciados y demostraciones

9 páginas

Como obtener los elementos de las cónicas

2 páginas

apuntes

-

Clasificación de cónicas y cuádricas

Clasificación afín y euclídea de las cónicas y clasificación afín de las cuádricas

Clasificacion-de-conicas.pdf
Clasificacion-de-cuadricas.pdf

Todo lo necesario para clasificar y obtener los elementos geométricos de las isometrías afines

4 páginas

apuntes

-

Clasificación hipercuadricas

Clasificación de cónicas y cuádricas tanto euclídeo como afínmente

Clasificacion-conicas-y-cuadricas-afinmente.pdf
Clasificacion-conicas-y-cuadricas-euclideamente.pdf

Descripción de todas las topologías habituales con las que hemos trabajado en clase

7 páginas

Apuntes al completo del tema 3 con todos los ejemplos necesarios para entender los conceptos

17 páginas

Apuntes con todo el temario del tema 4 y con todos los ejemplos necesarios para entender los conceptos

10 páginas