@Apuntexingcivil

Bio: En mi perfil encontrarás apuntes sobre ingeniería civil de la UNAM <3

12 Publicaciones

5 Interacciones

1 Seguidores

0 Siguiendo

Lista de publicaciones de Apuntexingcivil

He publicado nuevos apuntes de 2º Cálculo Integral: Capitulo-1-series-y-sucesiones.pdf

48 páginas

He publicado nuevos apuntes de 2º Estática: Sistemas-de-Fuerzas.pdf

4 páginas

He publicado nuevos apuntes de 1º Álgebra: Producto-de-una-matriz.pdf

1 página

He publicado nuevos apuntes de 1º Álgebra: Suma-de-matriz.pdf

1 página

He publicado nuevos apuntes de 1º Álgebra: Resta-de-matriz.pdf

2 páginas

He publicado nuevos apuntes de 2º Estática: Ejercicio-centroides.pdf

1 página

He publicado nuevos apuntes de 2º Álgebra Lineal: Campos.pdf

1 página

He publicado nuevos apuntes de 2º Álgebra Lineal: Trans.-Iineal.pdf

1 página

He publicado nuevos apuntes de 2º Cálculo Integral: Suma-de-Riemann.pdf

2 páginas

He publicado nuevos apuntes de 2º Geomática Básica: poligonal-Model.pdf

1 página

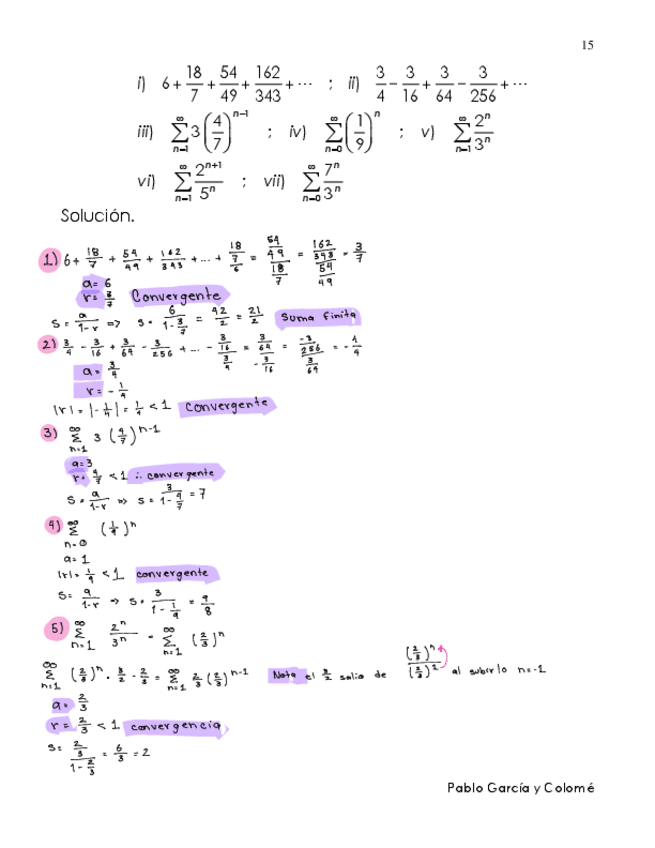
He publicado nuevos apuntes de 2º Cálculo Integral: Series-geometricas.pdf

1 página

He publicado nuevos ejercicios de 2º Cálculo Integral: EJERCICIOS-LHOPITAL.pdf

2 páginas