@apunticos_ricos

Bio: .

195 Publicaciones

5.18k Interacciones

19 Seguidores

8 Siguiendo

Lista de publicaciones de apunticos_ricos

He publicado nuevos examenes de 2º Análisis Matemático III: EXAMEN-RESUELTO-2023-ENERO.pdf

8 páginas

He publicado nuevos examenes de 2º Análisis Matemático III: EXAMEN-RESUELTO-2024-ENERO.pdf

10 páginas

He publicado nuevos examenes de 2º Análisis Matemático III: EXAMEN-RESUELTO-2024-FEBRERO.pdf

9 páginas

He publicado nuevos examenes de 2º Análisis Matemático III: EXAMEN-RESUELTO-2024-OCTUBRE.pdf

33 páginas

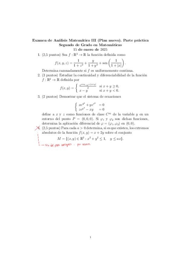
He publicado nuevos examenes de 2º Análisis Matemático III: EXAMEN-RESUELTO-2025-ENERO.pdf

9 páginas

He publicado nuevos examenes de 2º Análisis Matemático III: EXAMEN-RESUELTO-2026-ENERO.pdf

10 páginas

He publicado nuevos examenes de 2º Análisis Matemático III: EXAMEN-RESUELTO-2025-OCTUBRE.pdf.pdf

8 páginas

He publicado nuevos examenes de 2º Análisis Matemático III: EXAMEN-RESUELTO-2025-FEBRERO.pdf

10 páginas

He publicado nuevos ejercicios de 4º Teoría de Los Lenguajes de Programación: EJERCICIOS-VARIOS-PARCIAL-2.pdf

14 páginas

He publicado nuevos apuntes de 3º Seguridad de la Información: APUNTES-TEMA-2.pdf

7 páginas

He publicado nuevos apuntes de 3º Seguridad de la Información: APUNTES-TEMA-1-APUNTES.pdf

2 páginas

He publicado nuevos apuntes de 3º Seguridad de la Información: APUNTES-TEMA-5.pdf

11 páginas

He publicado nuevos apuntes de 3º Seguridad de la Información: APUNTES-TEMA-4.pdf

11 páginas

He publicado nuevos apuntes de 3º Seguridad de la Información: APUNTES-TEMA-3.pdf

11 páginas

apuntes

-

PRÁCTICAS MATHEMATICA 2025

He publicado nuevos apuntes de 3º Probabilidad: PRÁCTICAS MATHEMATICA 2025

PRACTICA-1.pdf
PRACTICA-2.pdf
PRACTICA-3.pdf
PRACTICA-4.pdf

He publicado nuevos examenes de 3º Introducción a los sistemas de información: RECOPILACION-PREGUNTAS-TEST-PRIMER-PARCIAL-1.pdf

6 páginas

test

-

TEST TEMA 1 - 8

He publicado nuevos test de 3º Introducción a los sistemas de información: TEST TEMA 1 - 8

TEST-TEMA-1-8-SOLUCIONES.pdf
TEST-TEMA-1-8-SIN-SOLUCIONES.pdf

He publicado nuevos apuntes de 3º Introducción a los sistemas de información: RESUMEN-TEMA-8.pdf

1 página

He publicado nuevos apuntes de 3º Introducción a los sistemas de información: RESUMEN-TEMA-7.pdf

1 página

He publicado nuevos apuntes de 3º Introducción a los sistemas de información: RESUMEN-TEMA-6.pdf

1 página