@arozita

Bio: Apuntes completos de muchas asignaturas que utilizo personalmente para estudiar. Si queréis alguna cosa en específico me lo podéis pedir y lo haré encantada. Gracias por compartir!

31 Publicaciones

135 Interacciones

2 Seguidores

6 Siguiendo

Lista de publicaciones de arozita

apuntes

-

BIOLOGÍA MOLECULAR

He publicado nuevos apuntes de 2º Microbiología: BIOLOGÍA MOLECULAR

TEMA-1-MATERIAL-GENETICO.pdf
TEMA-4-REPLICACION-DEL-ADN-Y-REPARACION.pdf
TEMA-5-REPARACION-ADN-Y-RECOMBINACION.pdf
TEMA-6-TRANSCRIPCION.pdf
TEMA-7-TRADUCCION.pdf
TEMA-8-PLASMIDOS-TRANSPOSONES-Y-VIRUS.pdf

apuntes

-

ESTRUCTURA Y FUNCIÓN DE BIOMOLÉCULAS

He publicado nuevos apuntes de 2º Metabolismo y su Regulación: ESTRUCTURA Y FUNCIÓN DE BIOMOLÉCULAS

TEMA-5-PROTEINA-FUNCION.pdf
TEMA-6-CATALISIS-ENZIMATICA.pdf
TEMA-7-HIDRATOS-DE-CARBONO.pdf
TEMA-8-LIPIDOS.pdf

apuntes

-

ANÁLISIS BIOQUÍMICO Y BIOENSAYOS

He publicado nuevos apuntes de 2º Análisis Instrumental: ANÁLISIS BIOQUÍMICO Y BIOENSAYOS

TEMA-1-INTRODUCCION.pdf
TEMA-2-MUESTREO-Y-PREPARACION-DE-MUESTRA.pdf
TEMA-3-ESPECTROFOTOMETRIA.pdf
TEMA-4-CROMATOGRAFIA.pdf

apuntes

-

INGENIERÍA DE PROCESOS TEMAS COMPLETOS

He publicado nuevos apuntes de 1º Física: INGENIERÍA DE PROCESOS TEMAS COMPLETOS

TEMA-2-FLUIDOS.pdf
TEMA-2-CALOR.pdf
TEMA-3-MATERIA.pdf

Tema completo con todos los aparatos y sistemas del cuerpo humano: Tejidos, Homeostasis, aparato digestivo, sistema respiratorio, sistema circulatorio, sistema nervioso, sistema endocrino, sistema inmunitario, olfato, etc.

21 páginas

Tema completo de los órganos principales de las plantas, estructuras, mecanismos adaptativos, etc.

16 páginas

TAXONOMIA DE LAS PLANTAS; FILO, CLASE, ORDEN

12 páginas

TAXONOMIA COMPLETA FILO, CLASE, ORDEN, SUBORDEN DE ANIMALES

25 páginas

TEMA 1 QUIMICA completo con mecánica cuántica, orbitales moleculares, TEV, configuración electrónica

37 páginas

Tema completo con teoría completa del tema 1 de microbiología

22 páginas

Tema completo con gametogénesis completa, desarrollo embrionario animal y vegetal, etc.

23 páginas

EJERCICIOS DE TODOS LOS TEMAS

19 páginas

Apuntes COMPLETOS

20 páginas

He publicado nuevos ejercicios de 1º Química: Quimica-Ejercicios-de-PrecipitacionCombustionEstequiometriaAnalisis-ElementalDisoluciones.pdf

22 páginas

apuntes completos del tema 2 de cinemática y dinámica con ejercicios y teoría completa.

15 páginas

apuntes completos del tema de estequiometría con ejercicios y la teoría

32 páginas

apuntes completos del tema de espacios vectoriales y aplicaciones lineales, vectores y valores propios con ejercicios.

25 páginas

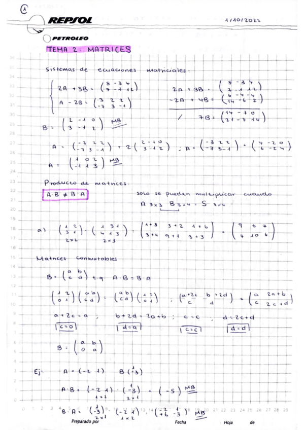
apuntes completos y con ejercicios resueltos de todo el tema de matrices

26 páginas