@arrakis_12

Estudios: Grado en Biotecnología (UAL) ...Mostrar más

Bio: Apuntes de E.S.O, 1 BACH y 2 BACH de CIENCIAS BIOTEC UAL

167 Publicaciones

3.78k Interacciones

251 Seguidores

10 Siguiendo

Lista de publicaciones de arrakis_12

He publicado nuevos apuntes de 2º Genética Molecular: T2-GM-COMPLETO.pdf

21 páginas

He publicado nuevos apuntes de 2º Genética Molecular: T4-GM-COMPLETO.pdf

27 páginas

He publicado nuevos apuntes de 2º Genética Molecular: t3-completo.pdf

32 páginas

apuntes

-

B. Vegetal

He publicado nuevos apuntes de 1º Biología Vegetal y Animal: B. Vegetal

T1.pdf
T1-Repaso-preguntas.pdf

apuntes

-

Termodiámica

He publicado nuevos apuntes de 1º Física: Termodiámica

Termodinamica.pdf

apuntes

-

Fluidos

He publicado nuevos apuntes de 1º Física: Fluidos

Fluidos.pdf

apuntes

-

Primer Cuatri

He publicado nuevos apuntes de 1º Matemáticas I: Primer Cuatri

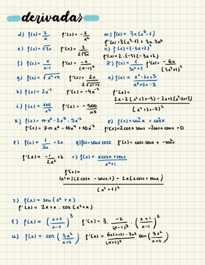
1MATES.pdf
Apuntes-Y-Ejercicios-Bloque-I.pdf
Apuntes-y-ejercicios-bloque-II.pdf
Bloque-II.pdf

examenes

-

Exámenes

He publicado nuevos examenes de 1º Matemáticas I: Exámenes

EX.-ENERO-2024.pdf

apuntes

-

Ec. Diferenciales

He publicado nuevos apuntes de 1º Matemáticas I: Ec. Diferenciales

Coeficientes-Cte-Y-Homogeneas.pdf
Variables-Separadas.pdf
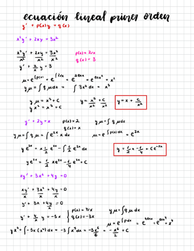
Lineal-primer-orden.pdf
Ecuaciones-diferenciales.pdf
Bernoulli.pdf
Ec.-Dif-Coef-cte.pdf

He publicado nuevos apuntes de 1º Matemáticas I: Parcial-2023-Diciembre.pdf

1 página

He publicado nuevos apuntes de 1º Física: ENERGIA-Y-TRABAJO.pdf

10 páginas

He publicado nuevos apuntes de 1º Física: SOLIDO-RIGIDO.pdf

9 páginas

He publicado nuevos apuntes de 1º Física: CINEMATICA.pdf

5 páginas

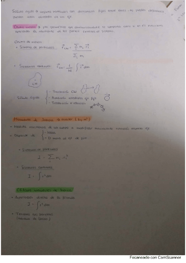
He publicado nuevos apuntes de 1º Física: MOMENTOS-DE-INERCIA.pdf

10 páginas

He publicado nuevos apuntes de 2º Matemáticas II: Matematicas-Selectividad.pdf

16 páginas

He publicado nuevos apuntes de 2º Historia de la Filosofía: RELACION-DESCARTES-Y-PLATON.pdf

6 páginas

He publicado nuevos apuntes de 2º Historia de la Filosofía: PLATON.pdf

6 páginas

He publicado nuevos apuntes de 2º Historia de la Filosofía: DESCARTES-EXAMEN.pdf

5 páginas

He publicado nuevos apuntes de 2º Historia de la Filosofía: 2-PARTE-Y-4-PARTE-DISCURSO-DESCARTES-1.pdf

3 páginas

He publicado nuevos apuntes de 2º Matemáticas II: Apuntes-de-Geometria-en-el-espacio-elprofepitagoras.pdf

20 páginas