@Arri97
Estudios: Grado en Ingeniería Informática (UC3M)
2 Publicaciones
22 Interacciones
0 Seguidores
0 Siguiendo
Lista de publicaciones de Arri97
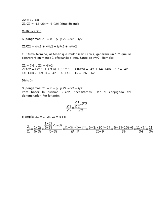
He publicado nuevos apuntes de 1º Física: Apuntes Física Complejos.docx
He publicado nuevos apuntes de 1º Álgebra Lineal: INTENSIVO ÁLGEBRA.pdf