@asc00099

Estudios: Grado en Ingeniería Mecánica (UJAEN) ...Mostrar más

8 Publicaciones

206 Interacciones

0 Seguidores

0 Siguiendo

Lista de publicaciones de asc00099

He publicado nuevos apuntes de 3º Elasticidad y Resistencia de Materiales II: resumenteoriaexamen2223.pdf

8 páginas

He publicado nuevos examenes de 3º Máquinas Térmicas: EXAMENmaqterm2conv2022.pdf

pdf

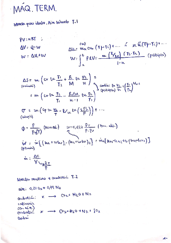
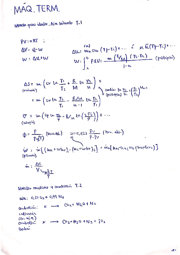
He publicado nuevos apuntes de 3º Máquinas Térmicas: FormularioMaquinasTermicas.pdf

pdf

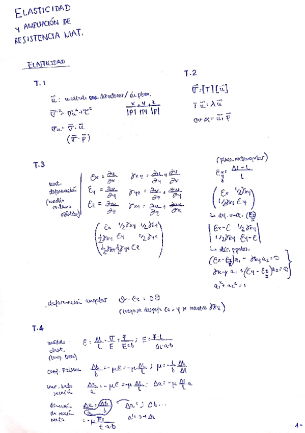
He publicado nuevos apuntes de 3º Elasticidad y ampliación de resistencia de materiales: FormularioEyARM.pdf

pdf

He publicado nuevos examenes de 3º Elasticidad y ampliación de resistencia de materiales: ExamenEne2021ElastyAmpResis.pdf

pdf

He publicado nuevos examenes de 4º Oficina Técnica: Preguntas-oficina-TEST.pdf

2 páginas

apuntes

-

Apuntes

He publicado nuevos apuntes de 3º Gestion de Sistemas Productivos: Apuntes

ResumenOPT.pdf
Formulario.pdf