@aupa_atleti

19 Publicaciones

78 Interacciones

1 Seguidores

1 Siguiendo

Lista de publicaciones de aupa_atleti

Esquemas temario completo Estadistica (primer parcial)

12 páginas

Demostraciones Estadistica (primer parcial).

13 páginas

Temario de estadística entero (primer parcial).

17 páginas

No abarca todo el temario de Códigos pero es útil para saber hacer ejercicios mecánicos

7 páginas

Ejercicios sacados de exámenes anteriores al 2023

18 páginas

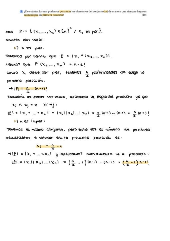
He publicado nuevos examenes de 1º Matemática Discreta: Enero-2025.pdf

6 páginas

He publicado nuevos examenes de 1º Matemática Discreta: Febrero-2025.pdf

6 páginas

He publicado nuevos examenes de 1º Matemática Discreta: Enero-2024.pdf

7 páginas

He publicado nuevos examenes de 1º Matemática Discreta: Febrero-2024.pdf

7 páginas

He publicado nuevos examenes de 1º Matemática Discreta: Enero-2026.pdf

5 páginas

He publicado nuevos apuntes de 1º Matemática Discreta: Esquemas-Finales.pdf

5 páginas

Relación de ejercicios "tipo"

9 páginas

Esquemas de todo el temario de Geometría I

13 páginas

Examen Geometría I Febrero 2025

11 páginas

Examen Geometría I Enero 2025

9 páginas

Examen Geometría I Enero 2024

7 páginas

Examen Geometría I Febrero 2014

7 páginas

Examen Geometría I Enero 2023

6 páginas

Examen Geometría I Septiembre 2022

7 páginas