@AuroBuezas

Bio: hola soy Auro!! Si ves algo mal en mis apuntes, que no se entienda o que debería mejorar feel free to comentármelo :) espero que te sirva lo que subo o que por lo menos sea estéticamente agradable pa tus ojos

13 Publicaciones

531 Interacciones

5 Seguidores

2 Siguiendo

Lista de publicaciones de AuroBuezas

algo cutres

12 páginas

apuntes

-

Apuntillos muy bonicos

Si véis algo mal xfavo me avisan

T3optica1AuroB.pdf
T2optica1AuroB.pdf

ejercicios

-

relaciones

He publicado nuevos ejercicios de 2º FUNDAMENTOS DE ASTROFÍSICA: relaciones

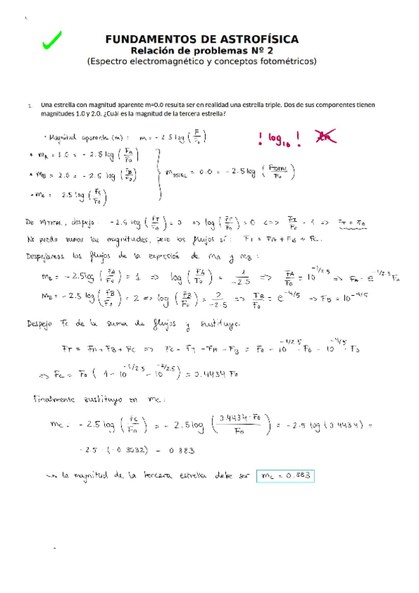
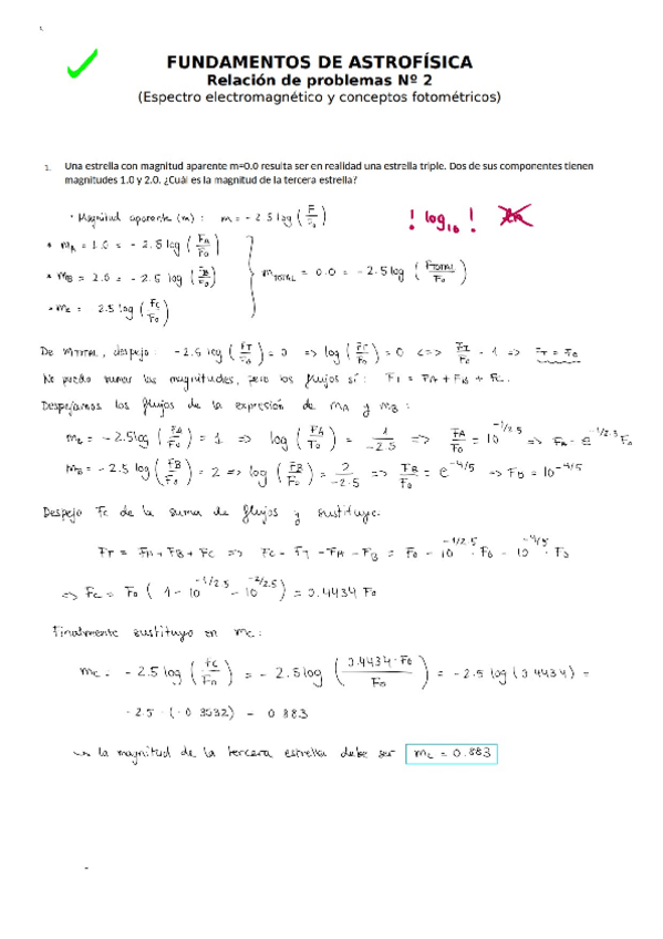
rel2astro.pdf
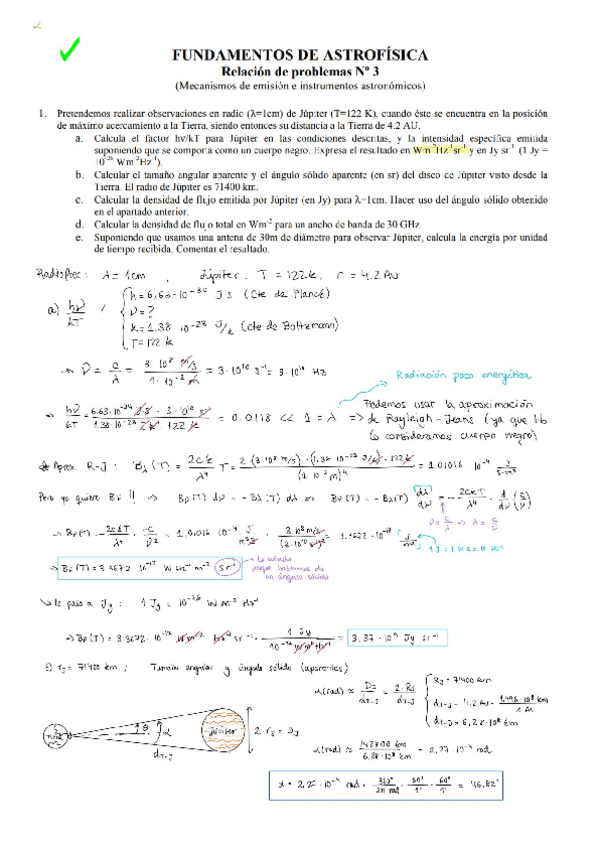
rel3astro.pdf

He publicado nuevos apuntes de 2º Física del Medio Ambiente: Formulario-T1-T5-chulisimo.pdf

5 páginas

apuntes

-

Apuntes 20/21

He publicado nuevos apuntes de 2º Métodos Matemáticos II: Apuntes 20/21

Tema0.pdf
AuroTema1.pdf
AuroTema3.pdf
AuroTema2.pdf

He publicado nuevos apuntes de 1º Programación: ResumProg.pdf

13 páginas

He publicado nuevos apuntes de 1º Análisis Matemático I: Tema2.pdf

3 páginas

He publicado nuevos apuntes de 1º Análisis Matemático I: Tema1.pdf

2 páginas