@Ave1398
Estudios: Grado en Ingeniería Informática (UJAEN)
2 Publicaciones
40 Interacciones
0 Seguidores
0 Siguiendo
Lista de publicaciones de Ave1398
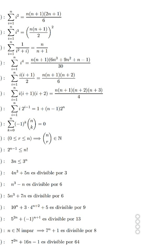
He publicado nuevos ejercicios de 1º Análisis y Métodos Numéricos: Ejercicios de inducción.jpg
He publicado nuevos apuntes de 2º Fundamentos de Ingeniería del Software: FIS - Resumen.docx