@Babilonia

64 Publicaciones

1.19k Interacciones

1 Seguidores

0 Siguiendo

Lista de publicaciones de Babilonia

He publicado nuevos examenes de 2º Tecnología Electrónica: examen-electronica-Junio-2019.pdf

1 página

examenes

-

Exámenes

He publicado nuevos examenes de 1º Matemáticas III: Exámenes

Primer parcial 2016.pdf
Primer parcial 2017.pdf
1 MIII-septiembre15.pdf
1 MIII-junio15.pdf
1 Junio2014.pdf
1 MIIIJunioFinal16.pdf

apuntes

-

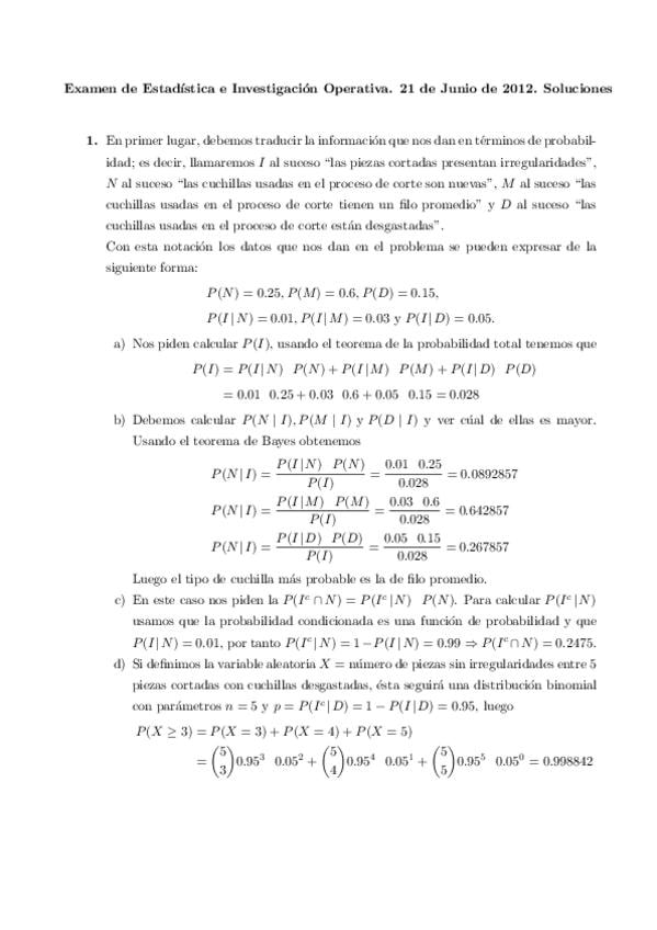
Examenes de Estadistica

He publicado nuevos apuntes de 1º Estadística e Investigación Operativa: Examenes de Estadistica

_21-6-12_.pdf
examen Tech 2-9-2014.pdf
examen_OI_P_1_sol.pdf
examen_OI2_sol.pdf
Sol(2-7-14).pdf
Sol_21-6-12.pdf

examenes

-

Examenes de Matematicas I

He publicado nuevos examenes de 1º Matemáticas I: Examenes de Matematicas I

Noviembre 2016.pdf
Noviembre 2016 RESUELTO.pdf
Enero 2017.pdf
Enero 2017 Resuelto.pdf
febrero 2016.pdf
A_Tech_Feb_2015_ERM.pdf

apuntes

-

Examenes de Matematicas Ii

He publicado nuevos apuntes de 1º Matemáticas II: Examenes de Matematicas Ii

Examen 21 enero 2015.pdf
Examen 22 enero 2016.pdf
Examen RESUELTO 21 enero 2015.pdf
Examen reuelto 22 enero 2016.pdf
examen 9 de febrero 2015.pdf
examen RESUELTO 9 de febrero 2015.pdf

apuntes

-

Examenes de Fisica Ii

He publicado nuevos apuntes de 1º Física II: Examenes de Fisica Ii

EXAMEN JUNIO FÍSICA II GIOI 14-06-17 RESUELTO.pdf
EXAMEN PRIMER PARCIAL FÍSICA II GIOI 28-04-17 RESUELTO.pdf
EXAMEN SEGUNDO PARCIAL FÍSICA II GIOI 09-06-17 RESUELTO.pdf
EXAMEN SEGUNDO PARCIAL FÍSICA II GIOI 10-06-16 RESUELTO.pdf
Junio 16-06-14.pdf
Junio 22-06-15.pdf

ejercicios

-

GIOI

He publicado nuevos ejercicios de 1º Física I: GIOI

1_Unidades y Vectores.pdf
2_Cinemática_Ejercicios.pdf
3_problemas_Dinámica I.pdf
4_problemas_energia_trabajo.pdf

examenes

-

Examenes de Fisica I

He publicado nuevos examenes de 1º Física I: Examenes de Fisica I

Diciembre 2015.jpg
Examen Septiembre 2016.pdf.jpeg
examen_febrero_2016.pdf.jpg
Febrero 2014.jpg
Febrero 2015.jpg
Septiembre 2014.jpg