@BadKat

28 Publicaciones

567 Interacciones

3 Seguidores

4 Siguiendo

Lista de publicaciones de BadKat

He publicado nuevos trabajos de Protocolo empresarial: Protocolo Actuación Recepción de Visitas.pdf

12 páginas

He publicado nuevos trabajos de Organización de eventos empresariales: Modelo de productividad 7 Habitos.pdf

11 páginas

ejercicios

-

Ej. Resueltos - Entorno

Enunciados y respuestas verificadas

Ej. Resueltos T1 y T2 (P2).pdf
Ej. T2 Resueltos.pdf
Ej. Resueltos T1 y T2 (P1).pdf
Ej. Repaso Resueltos T1 y T2.pdf

Resúmenes de toda la asignatura con pasos a seguir para los ejercicios.

8 páginas

examenes

-

Exámenes Resueltos - Micro

He publicado nuevos examenes de 1º Microeconomía: Exámenes Resueltos - Micro

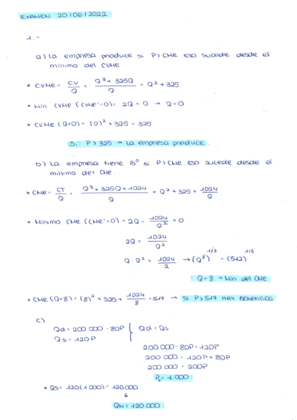
Segundo Parcial 2022 Resuelto - 20.06.22.pdf
Segundo Parcial 2017 Resuelto - 15.06.17.pdf
Segundo Parcial 2021 Resuelto - 23.06.21.pdf
Segundo Parcial 2021 Resuelto - 21.06.21.pdf
Primer Parcial Micro - 20.04.2018.pdf

apuntes

-

Resúmenes Sist. Fiscal

Apuntes basados en los pdf dados en la UIB

Resumen T5.pdf
Resumen T4.pdf
Resumen T6.pdf
Esquemas Practica.pdf

practicas

-

Tasca micro

Ejercicios de toda la asignatura. Enunciados y soluciones

Tasca 2 Parcial 1 - Solución.pdf
Tasca 1 Parcial 1 - Solución.pdf

ejercicios

-

Supuestos y P.Test RESUELTOS - Sist. Fiscal

Supuestos y Preguntas Tipo Test resueltas

TEST T4 Resuelto.pdf
Supuestos T4 Resueltos.pdf

Toda la teoría para selectividad

51 páginas

Convocatorias 2016 y 2017

6 páginas

apuntes

-

Análisis de Datos

He publicado nuevos apuntes de 1º Análisis de Datos Económicos: Análisis de Datos

Tema 3.pdf
Tema 6.pdf
Tema 5.pdf
Tema 4.pdf