@bdebuao

53 Publicaciones

1.26k Interacciones

4 Seguidores

3 Siguiendo

Lista de publicaciones de bdebuao

He publicado nuevos apuntes de 3º Tradición de la literatura y de la cultura latinas: Mitos-Parcial.pdf

6 páginas

He publicado nuevos apuntes de 3º Tradición de la literatura y de la cultura latinas: Tema-7.pdf

8 páginas

He publicado nuevos apuntes de 3º Tradición de la literatura y de la cultura latinas: Tema-6.pdf

6 páginas

He publicado nuevos apuntes de 3º Tradición de la literatura y de la cultura latinas: Tema-5.pdf

6 páginas

He publicado nuevos apuntes de 1º Introducción a la Lengua Española: Tema-3.-Clases-de-palabras..pdf

25 páginas

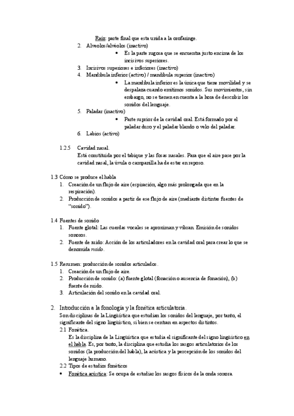
He publicado nuevos apuntes de 1º Introducción a la Lengua Española: Tema-2.-FONETICA-Y-FONOLOGIA.pdf

7 páginas

He publicado nuevos apuntes de 1º Introducción a la Lengua Española: Tema-1.-INTRO-LENGUAJE-VERBAL.pdf

2 páginas

He publicado nuevos apuntes de 3º LingÜística aplicada a la enseñanza del inglés: Examen-enero.pdf

1 página

He publicado nuevos examenes de 3º Inglés hablado: examen-enero-2024.pdf

1 página

He publicado nuevos apuntes de 3º LingÜística aplicada a la enseñanza del inglés: Topic-0.-Resumen.pdf

2 páginas

He publicado nuevos ejercicios de 3º Gramática inglesa: sintaxis y semántica: Frases-corregidas.pdf

4 páginas

He publicado nuevos apuntes de 2º Cultura de los Países de Habla Inglesa: examen-cultura-resuelto-preguntas-cortas.pdf

2 páginas

He publicado nuevos apuntes de 2º Inglés instrumental 2: Phrasal-Verbs-Meaning-and-examples.pdf

10 páginas

He publicado nuevos apuntes de 2º Cultura de los Países de Habla Inglesa: 12.-The-Civil-War.pdf

1 página

He publicado nuevos apuntes de 2º Cultura de los Países de Habla Inglesa: 11.-North-and-south.pdf

2 páginas

He publicado nuevos apuntes de 2º Cultura de los Países de Habla Inglesa: 10.-West-to-the-Pacific.pdf

2 páginas

He publicado nuevos apuntes de 2º Cultura de los Países de Habla Inglesa: 9.-Years-of-growth.pdf

1 página

He publicado nuevos apuntes de 2º Cultura de los Países de Habla Inglesa: 8.-Forming-the-new-nation.pdf

2 páginas

He publicado nuevos apuntes de 2º Cultura de los Países de Habla Inglesa: 7.-Fighting-for-Independence.pdf

2 páginas

He publicado nuevos apuntes de 2º Cultura de los Países de Habla Inglesa: 6.-The-Roots-of-Revolution.pdf

2 páginas