@BeaD_

14 Publicaciones

252 Interacciones

1 Seguidores

0 Siguiendo

Lista de publicaciones de BeaD_

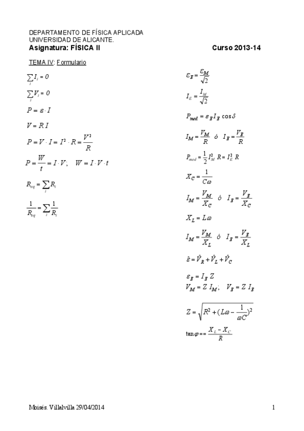
apuntes

-

Corriente Eléctrica + Formulario

He publicado nuevos apuntes de 1º Física II: Corriente Eléctrica + Formulario

Tema IV.pdf
Tema IV-Formulario.pdf

apuntes

-

óptica + Formulario

He publicado nuevos apuntes de 1º Física II: óptica + Formulario

Tema V.pdf
Tema V-Formulario.pdf

He publicado nuevos apuntes de 1º Física II: Tema I.pdf

6 páginas

apuntes

-

Examen 1 y 2

He publicado nuevos apuntes de 1º Física II: Examen 1 y 2

Prueba I.pdf
Prueba 2.pdf

He publicado nuevos apuntes de 1º Física II: Tema I.pdf

6 páginas

apuntes

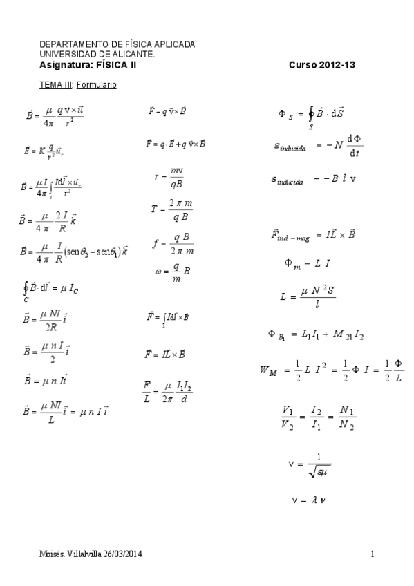
-

Campo Magnético + Formulario

He publicado nuevos apuntes de 1º Física II: Campo Magnético + Formulario

Tema III.pdf
Tema III-Formulario.pdf

examenes

-

Examenes Parciales

Exámenes parciales

Prueba I.pdf
Prueba 2.pdf

apuntes

-

Campo Eléctrico + Formulario

He publicado nuevos apuntes de 1º Física II: Campo Eléctrico + Formulario

Tema II.pdf
Tema II-Formulario.pdf