@beatrizlopezz_

18.58 € • 7.11k EXP

54 Publicaciones

1.08k Interacciones

3 Seguidores

2 Siguiendo

Lista de publicaciones de beatrizlopezz_

ejercicios

-

Ejercicio T5

He publicado nuevos ejercicios de 2º Gestión de Datos: Ejercicio T5

Ejercicioslec5intest1011.pdf
gdTEMA5ejercicios.pdf

ejercicios

-

ejercicios tema 4

He publicado nuevos ejercicios de 2º Gestión de Datos: ejercicios tema 4

EJERCICIOSLECCION4AMPLIACION.pdf
EjerciciosTEMA41.pdf

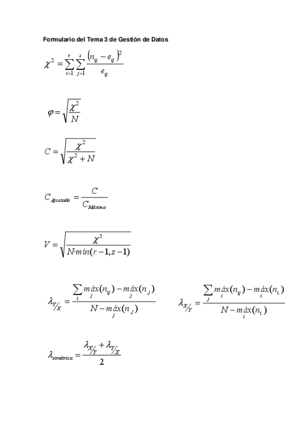
He publicado nuevos apuntes de 2º Gestión de Datos: FormulariodelTema3deGestiondeDatos.pdf

2 páginas

He publicado nuevos apuntes de 3º Relaciones Laborales en la Administración Pública: TEMA-2.pdf

79 páginas

He publicado nuevos apuntes de 3º Relaciones Laborales en la Administración Pública: TEMA-1-RESUMEN.pdf

35 páginas

apuntes

-

TEMA 5. RRLL

He publicado nuevos apuntes de 3º Relaciones Laborales en la Administración Pública: TEMA 5. RRLL

TEMA-5.pdf
TEMA-5.pdf
TEMA-5.pdf
TEMA-5.pdf

He publicado nuevos apuntes de 3º Operaciones Financieras en el Sector Público: Repaso-Examen-1.pdf

27 páginas

otros

-

Operaciones Financieras T.1 y T2

He publicado nuevos otros de 3º Operaciones Financieras en el Sector Público: Operaciones Financieras T.1 y T2

20191029122611.jpg
20191029122558.jpg
NOTAS-TEORICAS-OPERACIONES-FINANCIERAS-A-CORTO-PLAZO.pdf
Repaso-Examen.ods

He publicado nuevos examenes de 2º Derecho Patrimonial de las Administraciones Públicas: 1568276065182.jpg

Imagen

He publicado nuevos examenes de 1º Fundamentos del Derecho: EXAMEN-JUNIO-2019-DERECHO-CIVIL.pdf

1 página

He publicado nuevos examenes de 2º Estructura de la Administración Pública: NuevoDocumento-2019-06-26-09.52.391.pdf

1 página

apuntes

-

TEMAS FUNDAMENTO DEL DERECHO

Son los mismos apuntes ya que la profesora es la misma.

TEMA 5.pdf
TEMA 8.pdf
TEMA 7.pdf
Tema 10.pdf
TEMA 1(1).pdf
TEMA 9.pdf

apuntes

-

Derecho Constitucional

Esquemas que explican lo que el profesor dice en clase

TOL_3001911.pdf
TOL_3001910.pdf
TOL_3001912.pdf
TOL_3001909.pdf
TOL_3001913.pdf

apuntes

-

TÉCNICAS DE INVESTIGACIÓN SOCIAL

He publicado nuevos apuntes de 2º Técnicas de Investigación Social: TÉCNICAS DE INVESTIGACIÓN SOCIAL

Tema_7_GAP_Tecnicas_.pdf
Cuadro_proceso_metodologico.pdf
Tema_4_GAP_Tecnicas.pdf
Tema_3_GAP_Tecnicas.pdf
Tema_5_GAP_Tecnicas.pdf
Tema_6_GAP_Tecnicas.pdf

apuntes

-

Sociologia

He publicado nuevos apuntes de 1º Sociología: Sociologia

Tema_1_GAP_Alumnos_.pdf
Tema_8_GAP_Alumnos_.pdf
Tema_2_GAP_Alumnos_.pdf

apuntes

-

Esquemas Derecho constitucional

He publicado nuevos apuntes de 1º Derecho Constitucional: Esquemas Derecho constitucional

TOL_3003967.pdf
TOL_3003973.pdf
TOL_5542229.pdf
TOL_3003966.pdf
TOL_3003968.pdf
TOL_3004189.pdf