@Bertaacl_02

51 Publicaciones

214 Interacciones

1 Seguidores

1 Siguiendo

Lista de publicaciones de Bertaacl_02

He publicado nuevos apuntes de Apuntes Variados: NORMES-BASIQUES-DE-TREBALL.doc

word

He publicado nuevos apuntes de Lengua Catalana y Literatura II: JACINT-VERDAGUER-2.doc

word

He publicado nuevos apuntes de Apuntes Variados: METABOLISME.doc

word

ejercicios

-

dinàmica i quantitat de moviment.pdf

He publicado nuevos ejercicios de Apuntes Variados: dinàmica i quantitat de moviment.pdf

Exercicis-repas-dinamica-i-quantitat-de-moviment.pdf
Exercicis-repas-dinamica-i-quantitat-de-moviment.pdf

He publicado nuevos apuntes de Apuntes Variados: Apunts-entrenament-esportiu.pdf

15 páginas

He publicado nuevos apuntes de Lengua Castellana y Literatura II: EL-RENACIMIENTO.doc

word

He publicado nuevos apuntes de Lengua Castellana y Literatura II: LA-NARATIVA-MEDIEVAL.doc

word

He publicado nuevos apuntes de Lengua Catalana y Literatura II: NARRATIVA-1.pdf

6 páginas

He publicado nuevos apuntes de Apuntes Variados: Hume-lectura-selectivitat.pdf

10 páginas

He publicado nuevos apuntes de Lengua Catalana y Literatura II: RESUM-CATALA-definitivo-copia.doc

word

He publicado nuevos ejercicios de Apuntes Variados: Exercicis-Tema-0.pdf

2 páginas

He publicado nuevos ejercicios de Apuntes Variados: Mov.pdf

1 página

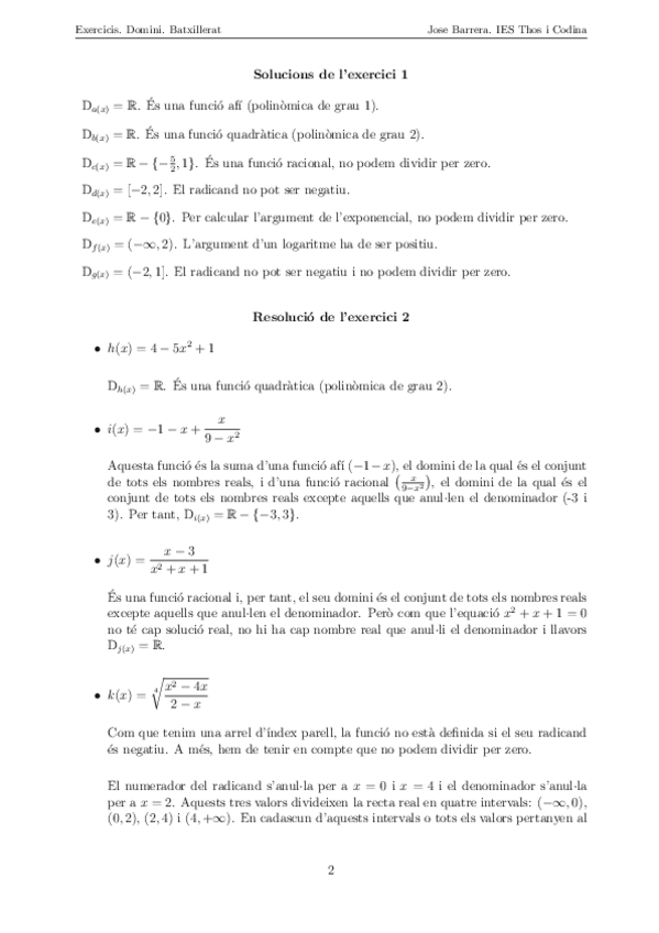
He publicado nuevos apuntes de Apuntes Variados: dominis.pdf

4 páginas

He publicado nuevos apuntes de Biología: Activitat-relacions-de-la-biocenosi.doc

word

He publicado nuevos ejercicios de Biología: ACT-T1-2.doc

word

He publicado nuevos apuntes de Biología: Berta-Cruz-Lara-PRACTICA-OSMOSI.doc

word

He publicado nuevos apuntes de Biología: PROCARIOTES-I-VIRUS.doc

word

He publicado nuevos apuntes de Apuntes Variados: HISTORIA.doc

word

He publicado nuevos apuntes de Lengua Catalana y Literatura II: Lo-pi-de-Formentor.pdf

3 páginas

He publicado nuevos apuntes de Apuntes Variados: Dickinsonia.doc

word