@BerTPablo

14 Publicaciones

93 Interacciones

1 Seguidores

1 Siguiendo

Lista de publicaciones de BerTPablo

apuntes

-

Fundamentos Físicos II de la Informatica

Vendo apuntes a particulares. Aquí adjunto una demo para que podáis ver que los apuntes son buenos. Obtuve una matricula de honor. Tengo ejercicios y exámenes de años anteriores. Mi correo juanpablo.bernacertapia@usp.ceu.es

Tema-1-Fisica-II.pdf
Tema-2-Fisica-II-Wuolah.pdf
TEMA-3.pdf

He publicado nuevos apuntes de 1º INTRODUCCIÓN A LA INGENIERÍA INFORMÁTICA: Resumen-COMANDOS-DE-UNIX.pdf

6 páginas

He publicado nuevos apuntes de 1º Programación I: Clases-Herencia-y-Polimorfismo-Java.pdf

8 páginas

Apuntes completos Técnicas Pensamiento Creativo

7 páginas

He publicado nuevos apuntes de 1º FUNDAMENTOS FÍSICOS DE LA INFORMÁTICA I: DEMOSTRACIONES-CAMPO-MAGNETICO.pdf

2 páginas

He publicado nuevos apuntes de 1º FUNDAMENTOS FÍSICOS DE LA INFORMÁTICA I: CIRCUITOS-RC.pdf

1 página

He publicado nuevos apuntes de 1º FUNDAMENTOS FÍSICOS DE LA INFORMÁTICA I: CAMPO-MAGNETICO--MOMENTO-DE-FUERZA.pdf

2 páginas

He publicado nuevos apuntes de 1º FUNDAMENTOS FÍSICOS DE LA INFORMÁTICA I: LEYES-DE-KIRKCHOFF.pdf

1 página

Demostraciones por Ley de Coulomb y Gauss

5 páginas

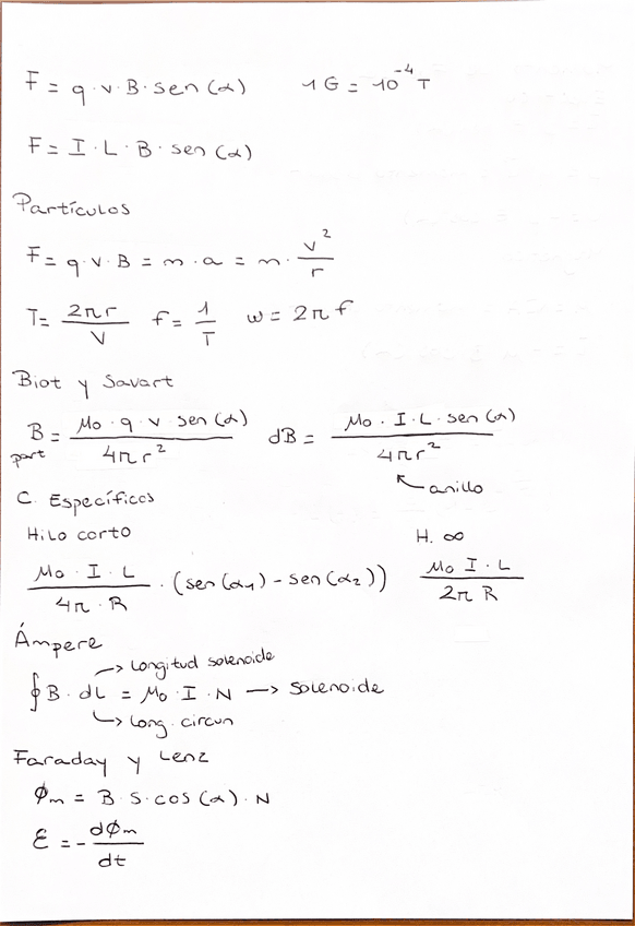
Formulario de todas las fórmulas de Campo Eléctrico y Campo Magnético (Faltan las demostraciones)

4 páginas