@biotecc22

Bio: Estudiante de biotec en la uv (por desgracia)

12 Publicaciones

439 Interacciones

0 Seguidores

2 Siguiendo

Lista de publicaciones de biotecc22

He publicado nuevos apuntes de 2º Biologia Animal: RESUMEN-PRACTICAS-LAB-ANIMAL.pdf

19 páginas

He publicado nuevos examenes de 1º Física: Examen-Fisica-Mayo-2023.pdf

1 página

apuntes

-

Ejercicios Resueltos Física

He publicado nuevos apuntes de 1º Física: Ejercicios Resueltos Física

Problemas-Tema-1-Fisica.pdf
Problemas-Tema-2-Fisica.pdf
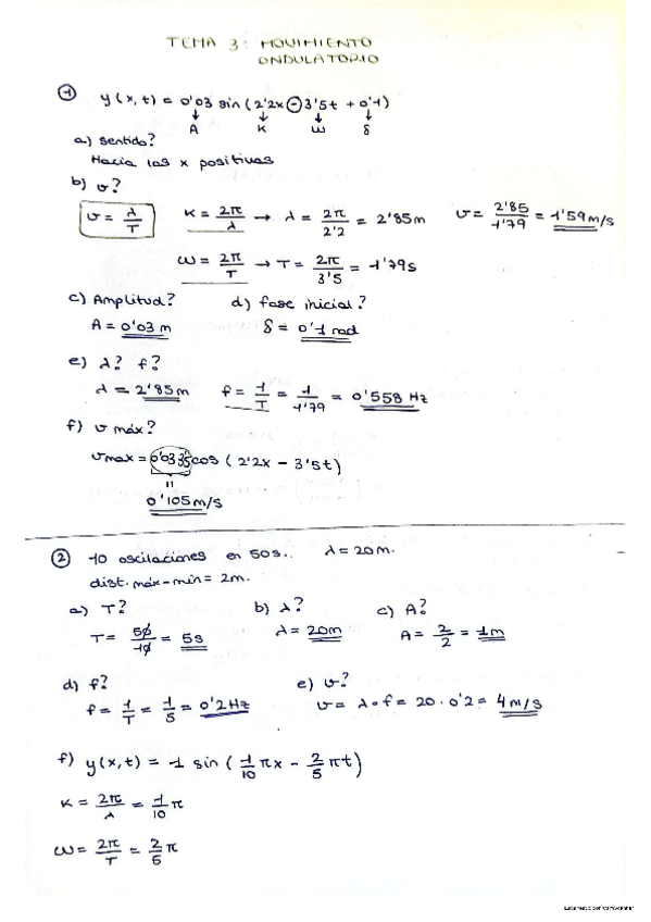
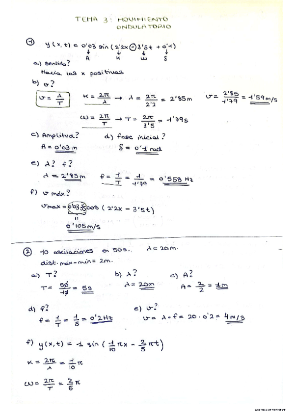
Problemas-Tema-3-Fisica.pdf
Problemas-Tema-4-Fisica.pdf
Problemas-Tema-5-Fisica.pdf

He publicado nuevos apuntes de 1º Física: Formulario-Fisica--Explicacion.pdf

9 páginas

apuntes

-

apuntes BIOLOGÍA completos + preguntas examen 2022

He publicado nuevos apuntes de 1º Biología: apuntes BIOLOGÍA completos + preguntas examen 2022

PDF-TEMA-1-BIO.pdf
PDF-TEMA-3-Y-4-BIO.pdf
PDF-TEMA-5-BIO.pdf
PDF-TEMA-6-BIO.pdf
PDF-TEMA-7-BIO.pdf
PDF-TEMA-9-BIO.pdf