@Blandres99

160 Publicaciones

10.98k Interacciones

3 Seguidores

0 Siguiendo

Lista de publicaciones de Blandres99

trabajos

-

Entregables resueltos termo del no

He publicado nuevos trabajos de 3º Termodinámica del No Equilibrio: Entregables resueltos termo del no

Entregable-3-termo-del-no.pdf
Entregable-2-termo-del-no.pdf

practicas

-

Electro-Algunas prácticas hechas

He publicado nuevos practicas de 3º Laboratorio de Fisica Iii: Electro-Algunas prácticas hechas

Fuente-DC.pdf
Histeresis.pdf
Filtros-RC.pdf
Resonancia-de-ondas-electromagneticas.pdf

practicas

-

Óptica - Algunas practicas hechas

He publicado nuevos practicas de 3º Laboratorio de Fisica Iii: Óptica - Algunas practicas hechas

Lentes-y-sistemas-de-lentes.pdf
Lupa-y-Microscopio.pdf
Interferometro-Fabry-Perot.pdf
Vision-y-telescopios.pdf

He publicado nuevos examenes de 3º Laboratorio de Fisica Iii: Examenes-resueltos-electricidad-y-magnetismo.pdf

10 páginas

He publicado nuevos apuntes de 3º Laboratorio de Fisica Iii: Resumenes-practicas-de-laboratorio-Electromagnetismo-III.pdf

4 páginas

He publicado nuevos apuntes de 3º Laboratorio de Fisica Iii: Resumenes-practicas-laboratorio-de-optica.pdf

11 páginas

He publicado nuevos ejercicios de 3º Termodinámica del No Equilibrio: Ejercicios-resueltos-termodinamica-del-no-equilibrio.pdf

59 páginas

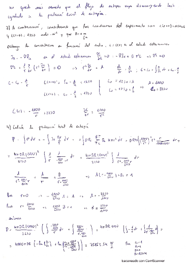
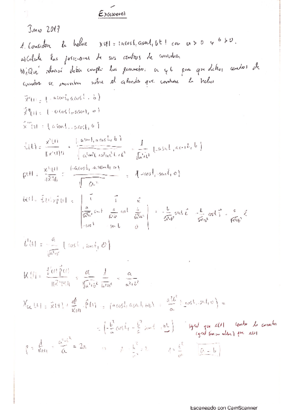
He publicado nuevos examenes de 3º Termodinámica del No Equilibrio: Examen-resuelto-Final-Junio.pdf

11 páginas

trabajos

-

Entregables 1, 2, 3 y 4

He publicado nuevos trabajos de 3º Mecánica Cuántica: Entregables 1, 2, 3 y 4

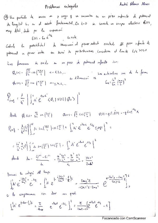
Entregable1.pdf
Entregable3.pdf
Entregable2.pdf
Entrehable4.pdf

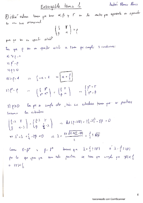
He publicado nuevos apuntes de 3º Geometría Diferencial y Cálculo Tensorial: Formularios-Geometria-diferencial-y-calculo-tensorial.pdf

10 páginas

ejercicios

-

Ejercicios resueltos todos los temas

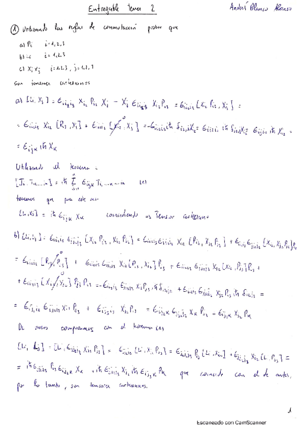
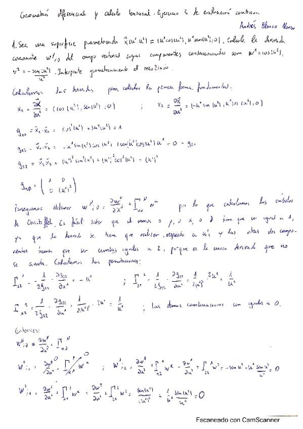
He publicado nuevos ejercicios de 3º Geometría Diferencial y Cálculo Tensorial: Ejercicios resueltos todos los temas

Ejercicios-resueltos-tema-3-Geometria-diferencial-y-calculo-tensorial.pdf
Ejercicios-resueltos-tema-2-Geometria-diferencial-y-calculo-tensorial.pdf
Ejercicios-resueltos-tema-1-Geometria-diferencial-y-calculo-tensorial.pdf
Ejercicios-resueltos-tema-4-Geometria-diferencial-y-calculo-tensorial.pdf
Ejercicios-resueltos-tema-5-y-6-Geometria-diferencial-y-calculo-tensorial.pdf

He publicado nuevos examenes de 3º Geometría Diferencial y Cálculo Tensorial: Examenes-resueltos-Geometria-diferencial-y-calculo-tensorial.pdf

25 páginas

trabajos

-

Entregables resueltos 1, 2 y 3

He publicado nuevos trabajos de 3º Geometría Diferencial y Cálculo Tensorial: Entregables resueltos 1, 2 y 3

Entregable-1.pdf
Entregable-3.pdf
Entregable-2.pdf

ejercicios

-

Problemas avanzados resueltos. Completo

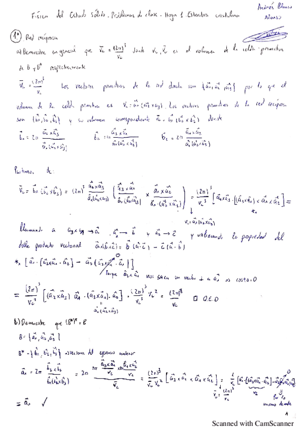
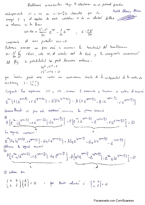
He publicado nuevos ejercicios de 3º Física del Estado Sólido: Problemas avanzados resueltos. Completo

Avanzado-hoja-4.pdf
Avanzado-hoja-3.pdf
Avanzado-hoja-2.pdf
Avanzado-hoja-1.pdf

ejercicios

-

Ejercicios resueltos hojas de clase

He publicado nuevos ejercicios de 3º Física del Estado Sólido: Ejercicios resueltos hojas de clase

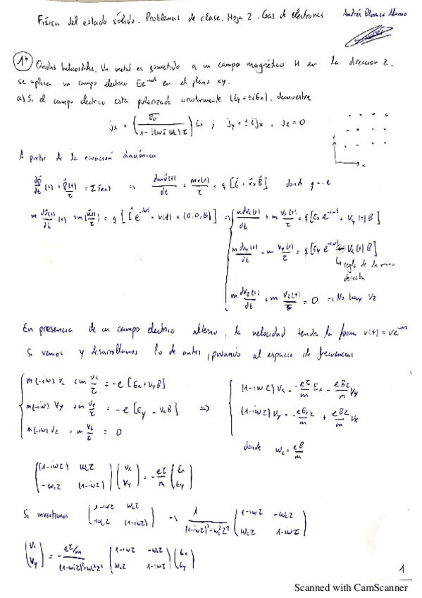
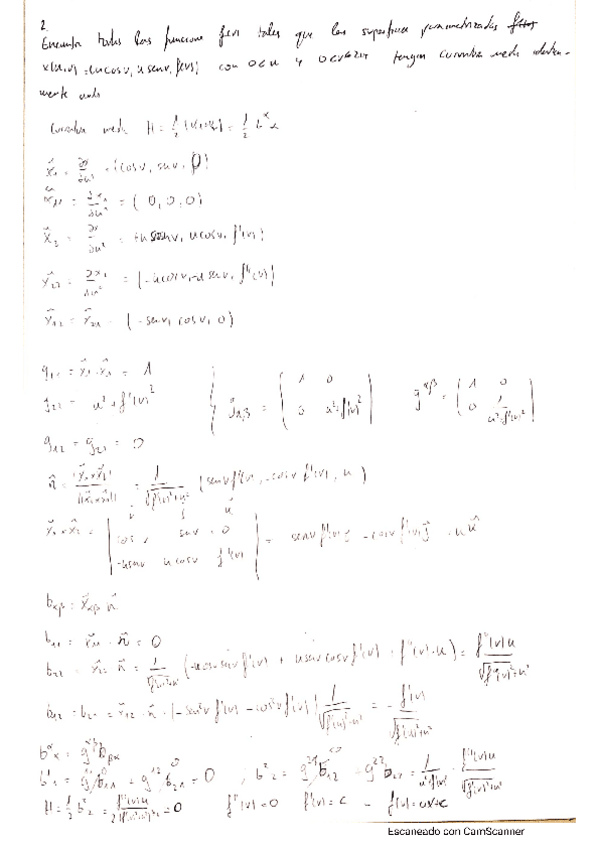
Hoja-2.pdf
Hoja-4.pdf
Hoja-1.pdf
Hoja-5.pdf
Hoja-3.pdf

ejercicios

-

Ejercicios resueltos - Parte Atómica

He publicado nuevos ejercicios de 3º Estructura de la Materia: Ejercicios resueltos - Parte Atómica

Problemas-resueltos-tema-5-y-6-Fisica-atomica-y-molecular.pdf
Problemas-resueltos-tema-1-2-3-y-4-Fisica-atomica-y-molecular.pdf