@bln__

Estudios: Bachillerato

12 Publicaciones

77 Interacciones

2 Seguidores

1 Siguiendo

Lista de publicaciones de bln__

textos y autores del amor cortés

1 página

TIC 1BACH

16 páginas

en mi perfil ejercicios con soluciones de formulación orgánica e inorganica

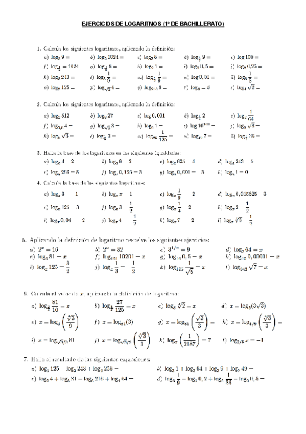
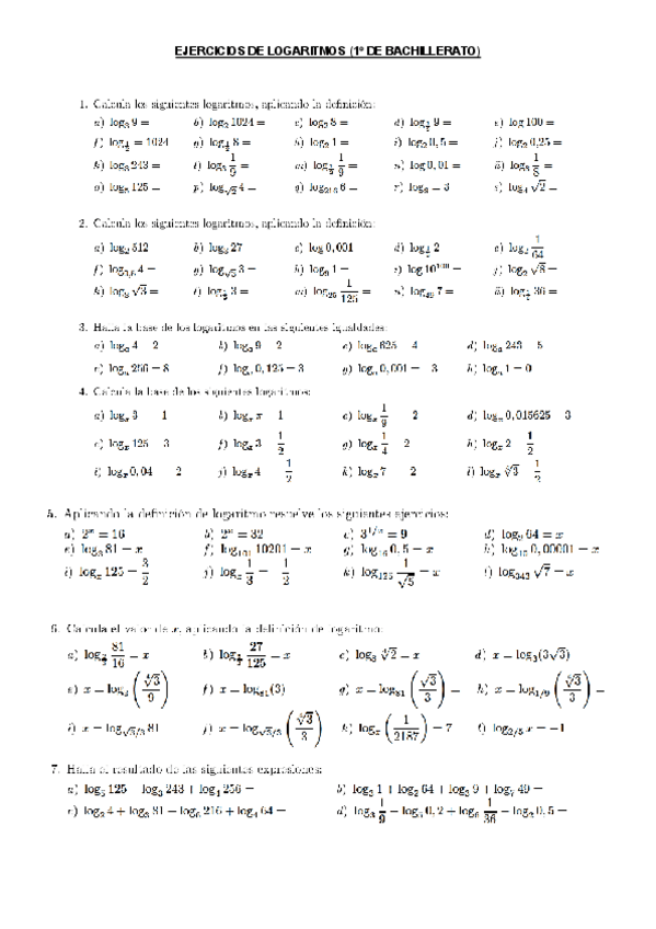
ejercicios de logaritmos con soluciones 1BACH

3 páginas

apuntes de tic, el impacto de la informática

15 páginas

He publicado nuevos apuntes de 1º Física y Química: Ejs-inorganica-con-soluciones.pdf

3 páginas

He publicado nuevos apuntes de 1º Física y Química: Tema-2.-Formulacion-organica.pdf

16 páginas

tema de la energía, con teoría, ejercicios y soluciones

20 páginas

Ejercicios formulación inorganica, se puede preguntar dudas o soluciones

Imagen

apuntes de formulación inorganica

Imagen

apuntes de formulación inorganica

Imagen

apuntes de formulación inorganica

Imagen

apuntes de formulación inorganica

Imagen