@Blss2

235 Publicaciones

14.83k Interacciones

52 Seguidores

3 Siguiendo

Lista de publicaciones de Blss2

He publicado nuevos apuntes de 4º Análisis de Datos: Formulario-parte-2.pdf

3 páginas

He publicado nuevos apuntes de 4º Análisis de Datos: Parte-1-Apuntes-Clase-2025.pdf

12 páginas

He publicado nuevos apuntes de 4º Análisis de Datos: Parte-2-Apuntes-Clase-2025pdf.pdf

9 páginas

He publicado nuevos apuntes de 4º Análisis de Datos: Formulario-parte-1.pdf

2 páginas

He publicado nuevos apuntes de 4º Organización de la Producción: T6-explicado-ejercicios.pdf

9 páginas

He publicado nuevos apuntes de 4º Organización de la Producción: T5-explicado-ejercicios.pdf

5 páginas

He publicado nuevos apuntes de 4º Organización de la Producción: Resumen-Formulas-PE1--SOLO-FORMULAS.pdf

2 páginas

He publicado nuevos apuntes de 4º Organización de la Producción: Resumen-Formulas-PE1--Explicado.pdf

2 páginas

He publicado nuevos apuntes de 4º Organización de la Producción: OP-teoria-Parte-1.pdf

8 páginas

He publicado nuevos ejercicios de Matemáticas aplicadas a las Ciencias Sociales II: Ejercicios-resueltos-Porbabilidad.pdf

3 páginas

He publicado nuevos apuntes de Química: Ejercicios-resueltos-Tema-8-quimica-del-carbono.pdf

4 páginas

apuntes

-

Electromagnetismo

He publicado nuevos apuntes de Física: Electromagnetismo

Campo-electrico-ejercicios-resueltos-2.pdf

He publicado nuevos apuntes de Química: Ejercicios-Tema-8-quimica-del-Carbono-resueltos.pdf

6 páginas

apuntes

-

geometría

He publicado nuevos apuntes de Matemáticas II: geometría

rectas-y-planos-ejercicios-resueltos.pdf
distancias-ejerciciso-resueltos.pdf
simetrias-ejercicios-resueltos.pdf

He publicado nuevos apuntes de Química: ejercicios-repaso-resueltos.pdf

9 páginas

apuntes

-

Análisis ejercicios resueltos

He publicado nuevos apuntes de Matemáticas II: Análisis ejercicios resueltos

Continuidad-ejercicios.pdf
Continuidad-Solucion.pdf
Integrales-ejercicios.pdf
Areas-ejercicios.pdf
Integrales-Solucion.pdf
Areas-Solucion.pdf

apuntes

-

Matrices ejercicios resueltos

He publicado nuevos apuntes de Matemáticas II: Matrices ejercicios resueltos

Matrices-ejercicios.pdf
Matrices-Solucion.pdf

He publicado nuevos apuntes de Química: Teoria-Organica-Resumen.pdf

6 páginas

apuntes

-

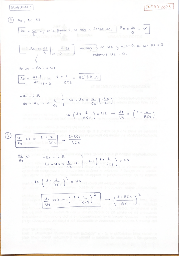
Exámenes de Analógica Paso a Paso

He publicado nuevos apuntes de 3º Fundamentos de Electrónica: Exámenes de Analógica Paso a Paso

ENERO-2022-enunciado-moodle.pdf
ENERO-2023-enunciado-moodle.pdf
ENERO-2024-B-enunciado-moodle.pdf
ENERO-2024-A-enunciado-moodle-.pdf
ENERO-2013-enunciado-moodle-.pdf
Julio-2019-enunciado-en-moodle.pdf

apuntes

-

Resumenes de las presentaciones

He publicado nuevos apuntes de 4º Análisis de Costes: Resumenes de las presentaciones

TEMA-1.pdf
TEMA-2.pdf
TEMA-3.pdf
TEMA-4.pdf
tema-5.pdf
TEMA-6.pdf