@braque

3 Publicaciones

164 Interacciones

0 Seguidores

0 Siguiendo

Lista de publicaciones de braque

He publicado nuevos apuntes de 1º Fundamentos de Programación: JAVA 2-10 DBQ

37 páginas

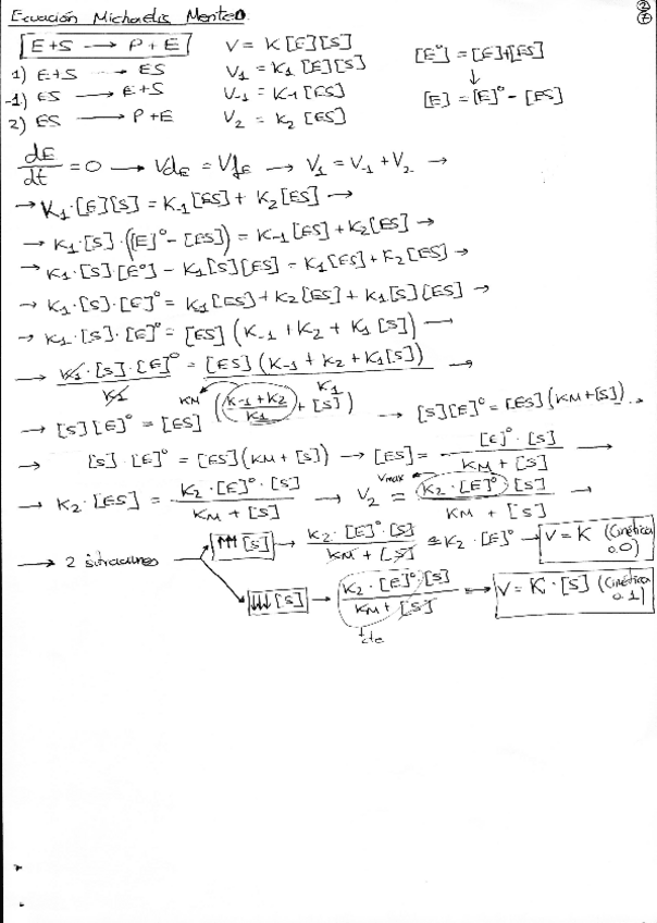
He publicado nuevos apuntes de 1º Química: Demostracion-Ecuacion-Michaelis-Menten-DBQ.pdf

1 página

He publicado nuevos apuntes de 1º Fundamentos de Programación: JAVA-2-6-DBQ.pdf

14 páginas