@Brauun

29 Publicaciones

1.17k Interacciones

1 Seguidores

1 Siguiendo

Lista de publicaciones de Brauun

apuntes

-

Apuntes pec 2

He publicado nuevos apuntes de 3º Ciencia de Materiales Metálicos: Apuntes pec 2

TEMA-7.pdf
TEMA-12.pdf
TEMA-13.pdf
TEMA-14.pdf
TEMA-10.pdf
TEMA-8.pdf

apuntes

-

Apuntes Pec 1

He publicado nuevos apuntes de 3º Ciencia de Materiales Metálicos: Apuntes Pec 1

TEMA-3.pdf
TEMA-6.pdf
TEMA-1.pdf
TEMA-2.pdf
TEMA-4.pdf
TEMA-5.pdf

He publicado nuevos apuntes de 3º Fabricación: test-tema-9-y-10.pdf

5 páginas

He publicado nuevos test de 1º Fundamentos de Programación: recopilacion-aulaweb-4.pdf

35 páginas

He publicado nuevos test de 1º Fundamentos de Programación: recopilacion-aulaweb-3.pdf

24 páginas

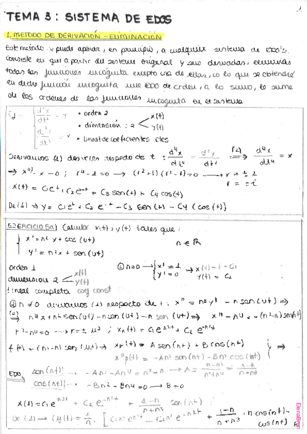
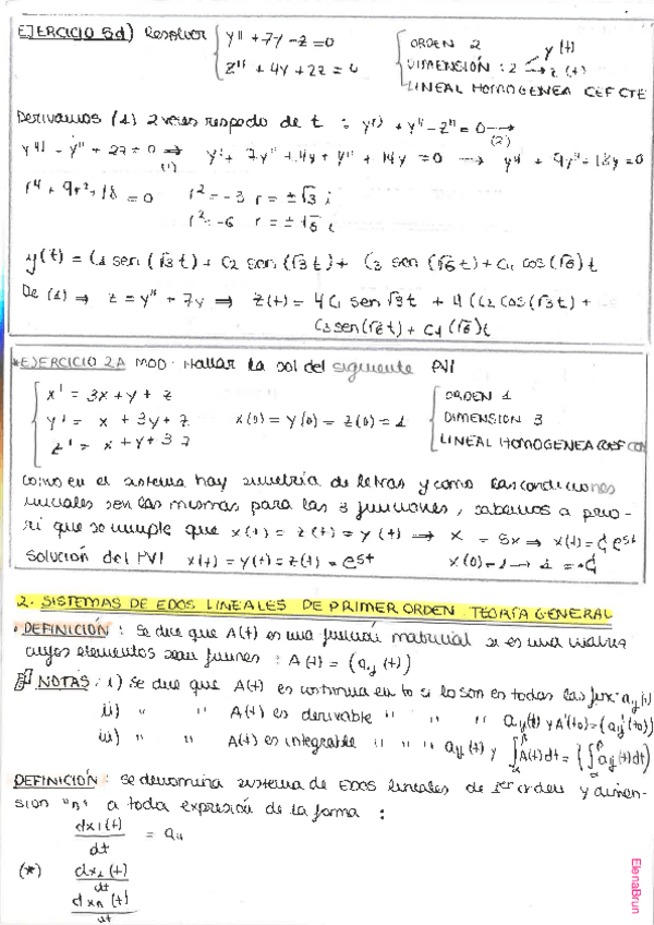
He publicado nuevos apuntes de 2º Ecuaciones Diferenciales: EDOS Tema 3

24 páginas

He publicado nuevos apuntes de 2º Ecuaciones Diferenciales: EDOS tema 2

34 páginas

He publicado nuevos apuntes de 2º Ecuaciones Diferenciales: EDOS-Tema-01-EB.pdf

28 páginas