@ByRafael_

0.62 € • 319 EXP

3 Publicaciones

73 Interacciones

0 Seguidores

0 Siguiendo

Lista de publicaciones de ByRafael_

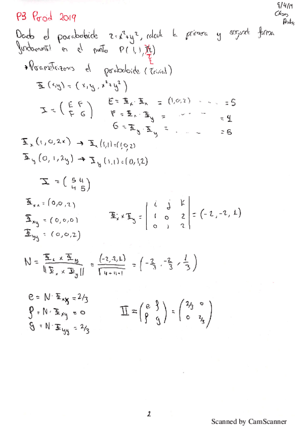
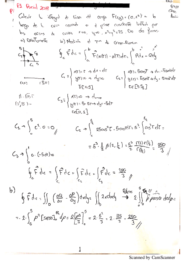
He publicado nuevos apuntes de 1º Análisis Vectorial y Estadístico: ParcialAnalisisCorregido.pdf

5 páginas

He publicado nuevos apuntes de 1º Fundamentos de Informática: Practicas1819.rar

rar

He publicado nuevos apuntes de 1º Física 1: Practicas.rar

rar