@Caarlis

Estudios: Grado en Veterinaria (UNIZAR) ...Mostrar más

22 Publicaciones

794 Interacciones

1 Seguidores

0 Siguiendo

Lista de publicaciones de Caarlis

He publicado nuevos apuntes de 4º Integración en rumiantes: EXAMEN-RUMIANTES-JUNIO-2015.docx.pdf

2 páginas

examenes

-

EXAMENES TECNO

He publicado nuevos examenes de 5º TECNOLOGÍA ALIMENTARIA: EXAMENES TECNO

EXAMEN-TECNOLOGIA-ALIMENTARIA.docx.pdf
Quinielas-tecno-resumen-junio-2020.pdf

apuntes

-

Resumenes rumiantes

He publicado nuevos apuntes de 4º Integración en rumiantes: Resumenes rumiantes

1.-BABESIOSIS-resumen.pdf
2.-THEILERIOSIS-resumen.pdf
3.-LEPTOSPIROSIS-resumen.pdf
4.-HEMOGLOBINURIA-BACILAR-DE-LOS-RUMIANTES-resumen.pdf
5.-LESIONES-EN-EL-APARATO-URINARIO-DE-LOS-RUMIANTES-resumen.pdf
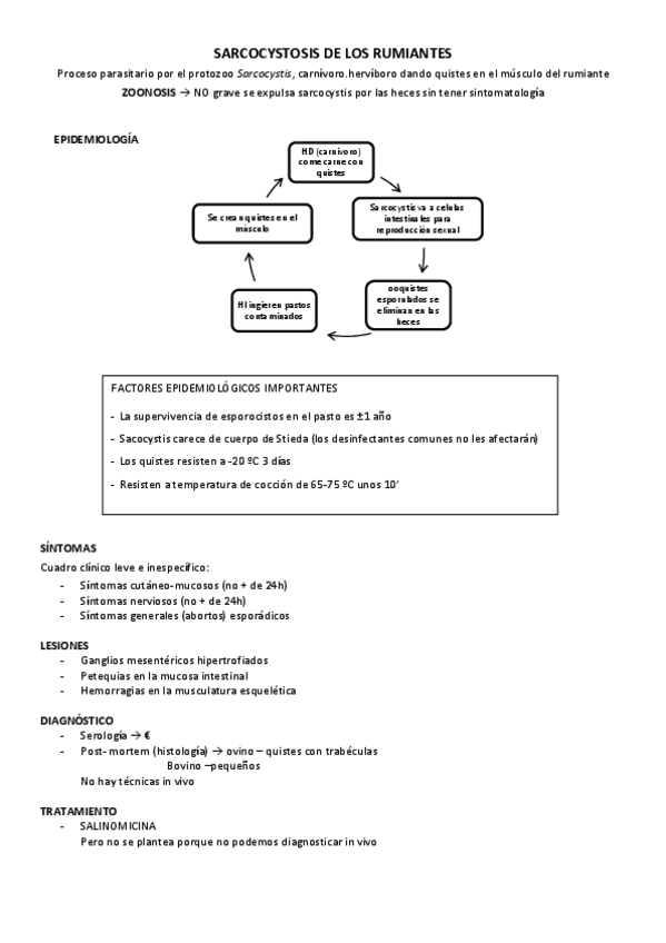
6.-SARCOCYSTOSIS-DE-LOS-RUMIANTES-resumen.pdf