@Cachau

Bio: Estudio, o lo intento.

28 Publicaciones

1.26k Interacciones

0 Seguidores

0 Siguiendo

Lista de publicaciones de Cachau

Son todas las preguntas de ambos modelos de examen.

2 páginas

He publicado nuevos examenes de 2º Cultura Visual: examen-cultura-visual-enero-2024.pdf

7 páginas

He publicado nuevos examenes de 2º Guión Audiovisual: examen-guion-audiovisual-enero-2024.pdf

3 páginas

Examen de la primera convocatoria ordinaria, realizado el 22 de enero de 2024.

1 página

Tabla con los modos documentales de Bill Nichols, todas las características importantes y su comparación entre ellos. Esquema realizado por mi con la información del temario del profesor.

2 páginas

Resumen esquematizado sobre la grabación de audio. Resumen realizado por mi con información del temario del profesor.

2 páginas

Esquema con varias tablas comparando los elementos de una mesa de mezclas. Esquemas realizados por mi con información del temario del profesor.

4 páginas

Dos esquemas sobre la clasificación de los micrófonos según construcción y modelo. Esquemas realizados por mi, información del temario del profesor.

3 páginas

He publicado nuevos apuntes de 1º Historia de la Cinematografía: RESUMEN-HISTORIA-CINEMATOGRAFIA.pdf

35 páginas

He publicado nuevos apuntes de 1º Teoría y Análisis de la Imagen: RESUMEN-TEORIA-ANALISIS-IMAGEN.pdf

5 páginas

Examen de la asignatura Historia de la Imagen Fija, primera convocatoria ordinaria enero 2023.

2 páginas

He publicado nuevos apuntes de 1º Construcción Periodística de la Realidad: RESUMEN-CONSTRUCCION-PERIODISTICA-REALIDAD-COMPLETOS.pdf

22 páginas

He publicado nuevos apuntes de 1º Psicología de la Comunicación: RESUMEN-PSICOLOGIA-DE-LA-COMUNICACION-COMPLETOS.pdf

34 páginas

He publicado nuevos apuntes de 1º Introducción a la Publicidad: RESUMEN-INTRODUCCION PUBLICIDAD-COMPLETOS.pdf

25 páginas

Examen de tarde.

3 páginas

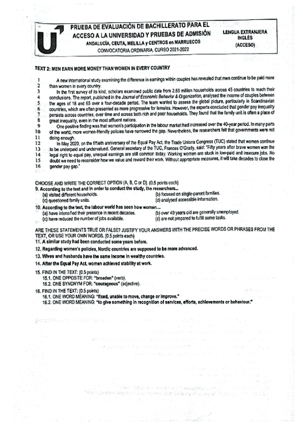
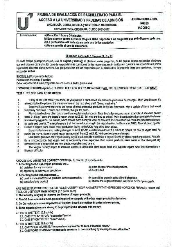
He publicado nuevos examenes de Inglés: ebau-ingles-junio-2022.pdf

4 páginas

He publicado nuevos examenes de Francés: ebau-frances-optativa-junio-2022.pdf

4 páginas

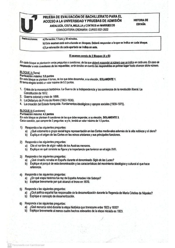
He publicado nuevos examenes de Historia de España: ebau-historia-esp-junio-2022.pdf

1 página

He publicado nuevos examenes de Latín II: ebau-latin-junio-2022.pdf

2 páginas

He publicado nuevos examenes de Lengua Castellana y Literatura II: ebau-lengua-junio-2022.pdf

3 páginas