@Candela_Pro

Estudios: Laboratorio Clínico y Biomédico ...Mostrar más

Bio: Galicia. Cursos: Anatomía Patológica y Laboratorio Clínico. Abau.

28 Publicaciones

20 Interacciones

0 Seguidores

0 Siguiendo

Lista de publicaciones de Candela_Pro

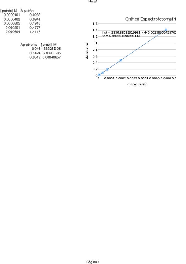
He publicado nuevos practicas de Análisis bioquímico: EspectrPrac.xlsx

excel

He publicado nuevos practicas de Análisis bioquímico: Espectrometria.xlsx

excel

He publicado nuevos apuntes de Microbiología clínica: Parte-2.-Microbiologia..zip

Miniatura no disponible
zip

He publicado nuevos apuntes de Microbiología clínica: Parte-1.-Libro-Microbiologia..zip

Miniatura no disponible
zip