@candeladav

Estudios: Grado en Ingeniería del Software (UMA) ...Mostrar más

458 Publicaciones

8.71k Interacciones

33 Seguidores

1 Siguiendo

Lista de publicaciones de candeladav

ejercicios

-

Relaciones de Ejercicios

Relaciones de ejercicios actualizadas (enunciados y soluciones)

Relación 2.1 - Ejercicios Criptográfia Clásica (Con soluciones).pdf.pdf
Relación 2.2 - Ejercicios DES (Con soluciones).pdf.pdf
Relación 2.3 - Ejercicios protocolos básicos (Con soluciones).pdf.pdf
Tablas para relación ejercicios DES.pdf
Relación 3.1 - Protocolos de Seguridad (Con soluciones).pdf

apuntes

-

Resúmenes Temario

Resúmenes completos de todos los temas nuevo plan 2023

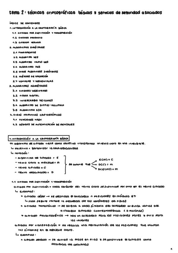
Tema 2 - Técnicas Criptográficas básicas y servicios de seguridad asociados.pdf

test

-

Test Evaluación Continua

Test completos campus corregidos

Tema 1 - Fundamentos de Seguridad (NOTA 9.5).pdf
Tema 2 - Técnicas Criptográficas básicas y Servicios de Seguridad Asociados (NOTA 10).pdf

Resumen completo CSS - Parcial I Tecnología del Cliente para Aplicaciones Web

8 páginas

Resumen de la asignatura completa. Contenidos: - Introducción - Obtención de requisitos - Análisis de requisitos - Especificación de requisitos - Modelado de requisitos - Gestión de requisitos

11 páginas

He publicado nuevos apuntes de 4º Vision por Computador: Tema 9 - Reconstrucción 3D desde múltiples vistas.pdf

6 páginas

Resumen completo Tema 8 - Image Formation (2025)

8 páginas

He publicado nuevos apuntes de 3º Modelado y Diseño del Software: Resumen Temario Completo.pdf

23 páginas

practicas

-

ISID - Prácticas

Prácticas completas (enunciado + código + main con casos de prueba)

Practica 3 - Anotaciones (Tipos de datos redis + diseño de clave).pdf
Practica 3 - Enunciado.pdf
Practica 3 - Solución.pdf
Practica 2 - Anotaciones.pdf
Practica 2 - Enunciado.pdf
Practica 2 - Solución.pdf

apuntes

-

Aprendizaje Automático - Bloque 2

Modelos de aprendizaje automatico, proceso de validación, ajuste de hiperparámetros ...

Bloque-2-Aprendizaje-Automatico.pdf
Relacion-2.pdf
Relacion-1-Ejercicios-Bayes.pdf

Apuntes completos con ejercicio de clase Tema 6 y Tema 7 (Reconocimiento de Objetos I y Reconocimiento de Objetos II)

8 páginas

Resumen completo Tema 1: Procesamiento de imágenes

4 páginas

He publicado nuevos apuntes de 4º Vision por Computador: Tema 5 - Descripción de Regiones.pdf

4 páginas

Apuntes completos con explicaciones del Tema 4 (Segmentación)

6 páginas

practicas

-

Prácticas

Prácticas de Laboratorio de Visión por computador completas con el código resuelto.

2.1-IP-tools.pdf
2.2-Smoothing.pdf
2.3-Image-enhancement.pdf
3.1-Operators-based-on-first-derivative.pdf
3.2-Operators-based-on-second-derivative-and-Canny-algorithm.pdf
4.1-Corner-detection-and-description.-Harris-and-NCC.pdf