@candilml

65 Publicaciones

1.57k Interacciones

0 Seguidores

0 Siguiendo

Lista de publicaciones de candilml

apuntes

-

Ejercicios resueltos y apuntes parcial 2

He publicado nuevos apuntes de 2º Ampliación de Matemáticas: Ejercicios resueltos y apuntes parcial 2

Parcial2-2020-Ejercicio1.pdf
Parcial2-curso21-22.-Ejercicios-1-y-3.pdf
T4Ejercicios1y2.pdf
Algunos-ejercicios-del-tema-5.pdf
Algunos-ejercicios-del-tema-6.pdf
Metodos-de-diferencias-finitas.-Apuntes-de-clase.pdf

apuntes

-

Ejercicios resueltos y resúmenes parcial 1

He publicado nuevos apuntes de 2º Ampliación de Matemáticas: Ejercicios resueltos y resúmenes parcial 1

T1Ejercicio1-extras-del-mismo-tipo.pdf
T1Ejercicio2.pdf
T1Ejercicio3.pdf
T1Ejercicio4.pdf
T1Ejercicio5.pdf
T1Ejercicio6.pdf

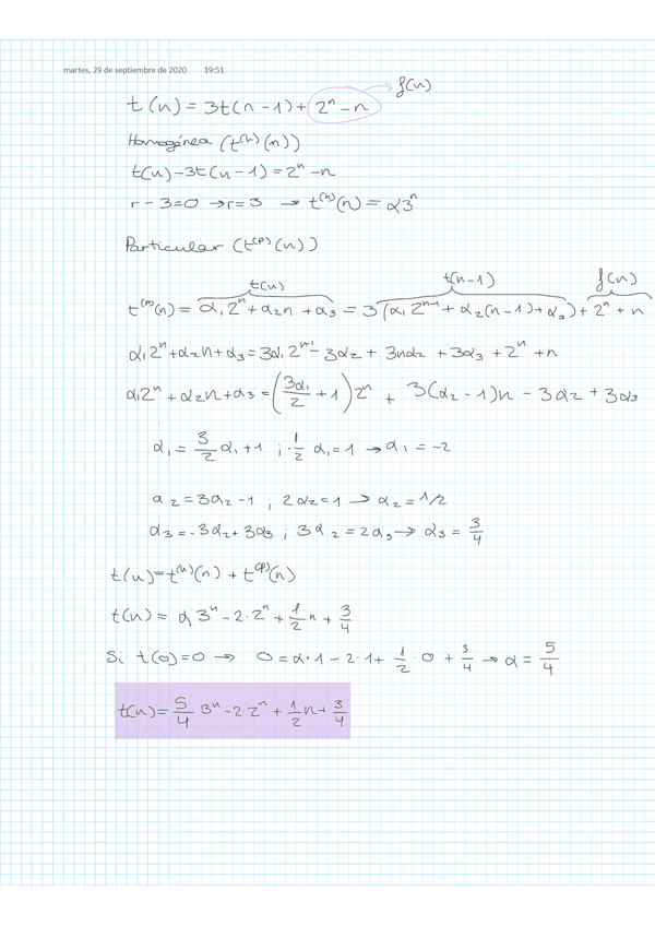
apuntes

-

Intentasión de apuntes

He publicado nuevos apuntes de 2º Estructuras de Datos y Algoritmos: Intentasión de apuntes

T1.pdf
ejercicio-recurrencia-no-homogenea.png
T1.pdf

apuntes

-

Pasos métodos

He publicado nuevos apuntes de 2º Ampliación de Matemáticas: Pasos métodos

Diferencias-finitas.pdf

test

-

Tests Fisiología Resueltos

He publicado nuevos test de 2º Anatomía y Fisiología: Tests Fisiología Resueltos

Fisiologia-General-TEST-RESUELTO.pdf
Test-Sangre1-TEST-RESUELTO.pdf
Test-Fisiologia-Cardiovascular-TEST-RESUELTO.pdf
Test-Respiratorio-2020-TEST-RESUELTO.pdf
Test-Sistema-Endocrino-TEST-RESUELTO.pdf
Test-casos-clinicos-Sistema-Endocrino-TEST-RESUELTO.pdf