@cargomne2

24 Publicaciones

1.42k Interacciones

0 Seguidores

3 Siguiendo

Lista de publicaciones de cargomne2

He publicado nuevos examenes de 2º Historia de la Psicología: preguntass.pdf

29 páginas

He publicado nuevos examenes de 2º Psicología de las Organizaciones: preguntasss-org.pdf

24 páginas

He publicado nuevos ejercicios de 1º Psicología de la Memoria: Preguntas-para-entrenar-en-clase.pdf

10 páginas

He publicado nuevos apuntes de 1º Psicología de la Memoria: SINDROME-Y-TRASTORNOS-DE-LA-MEMORIA.pdf

3 páginas

apuntes

-

Lecturas resumidas

He publicado nuevos apuntes de 2º Psicología de la Personalidad y la Diversidad Humana: Lecturas resumidas

lectura-1.docx
lectura-2.docx
lectura-4.docx
lectura-3.docx

apuntes

-

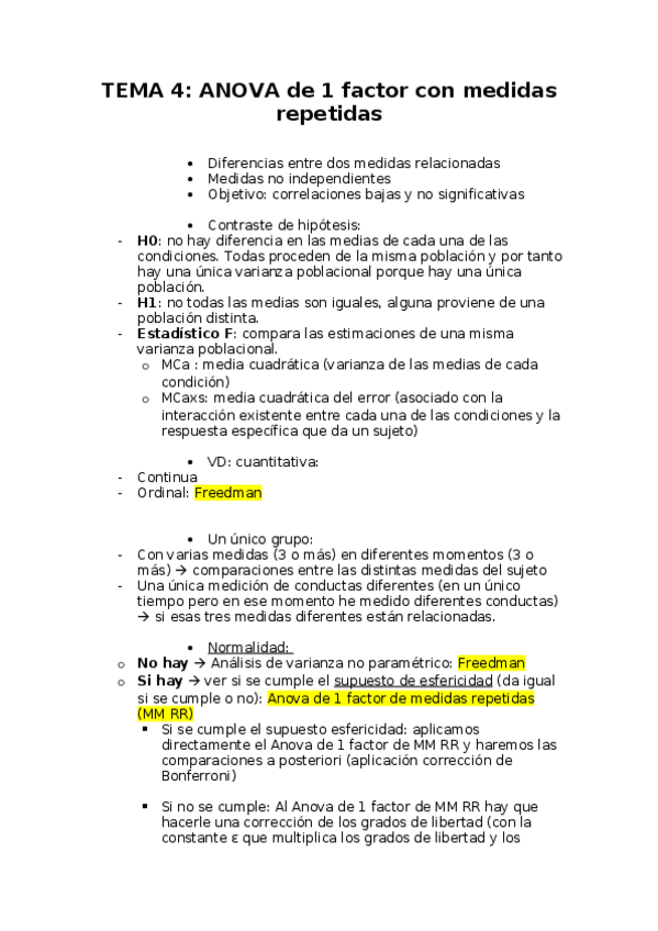
Temas 2-6 con los pasos para Jamovi

He publicado nuevos apuntes de 2º Diseño y Análisis de Datos en Psicología II: Temas 2-6 con los pasos para Jamovi

TEMA-4.docx
TEMA-2.docx
TEMA-3-y-5.docx
TEMA-6-copia.docx