@carlaolg

19 Publicaciones

287 Interacciones

0 Seguidores

0 Siguiendo

Lista de publicaciones de carlaolg

ejercicios

-

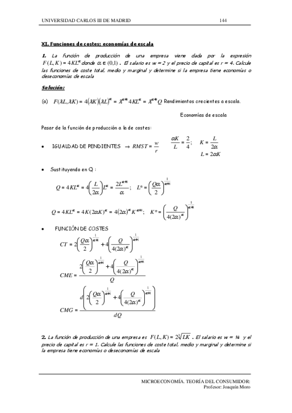
Ejercicios T. Empresa y Consumidor

He publicado nuevos ejercicios de 1º Microeconomía: Ejercicios T. Empresa y Consumidor

Ejercicios-Teoria-de-la-Empresa.pdf
Ejercicios-Teoria-de-la-Empresa.pdf
Ejercicios-Teoria-de-la-Empresa.pdf
Ejercicios-Teoria-de-la-Empresa.pdf
Ejercicios-Teoria-del-Consumidor.pdf
Ejercicios-Teoria-del-Consumidor.pdf

ejercicios

-

Ejercicios T9 al T11 Solución

He publicado nuevos ejercicios de 1º Microeconomía: Ejercicios T9 al T11 Solución

Ejercicios-T11-Solucion.pdf
Ejercicios-T11-Solucion.pdf
Ejercicios-T11-Solucion.pdf
Ejercicios-T11-Solucion.pdf
Ejercicios-T9-Solucion.pdf
Ejercicios-T9-Solucion.pdf

He publicado nuevos apuntes de 1º Microeconomía: Microeconomia-Apuntes-completos-woulah.pdf

114 páginas

He publicado nuevos examenes de 1º Microeconomía: TEST-Ta-Empresa.pdf

4 páginas

He publicado nuevos examenes de 1º Microeconomía: TEST-Ta-Consumidor.pdf

5 páginas

Tipo test con solucion

6 páginas

Tipo test historia economica

7 páginas

He publicado nuevos apuntes de 1º Historia Económica: Analisis-de-un-Mercado-con-Aranceles.pdf

3 páginas

Análisis del Flujo de Capitales Internacionales: Analisis que explica el grafico con la teoria

2 páginas

Perceptos de examen importantes

4 páginas

Resumen Principales Modalidades Contractuales

5 páginas

apuntes

-

Esquema Sist. e Inst. FIn

He publicado nuevos apuntes de 3º Sistema e instituciones financieras: Esquema Sist. e Inst. FIn

Resumen-1.pdf
Resumen-2.pdf

Apuntes elaborados de las transparencias, anotaciones de clase y busqueda propia.

85 páginas