@CarniceroArabe

6 Publicaciones

234 Interacciones

1 Seguidores

0 Siguiendo

Lista de publicaciones de CarniceroArabe

He publicado nuevos apuntes de 3º Regulación Automática: Formulas-de-regulacion-automatica.pdf

12 páginas

He publicado nuevos apuntes de 2º Mecánica de Fluidos: Formulas-de-Mecanica-de-Fluidos.pdf

10 páginas

practicas

-

Guiones de las prácticas de Termodinámica

He publicado nuevos practicas de 2º Termodinámica: Guiones de las prácticas de Termodinámica

Practica-1-Titulo-de-vapor-de-agua.pdf
Practica-2-Coeficiente-adiabatico-del-agua.pdf
Practicas-3-y-4-Presion-de-vapor-a-alta-y-baja-temperatura.pdf

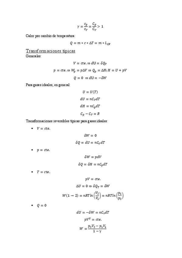
He publicado nuevos apuntes de 2º Termodinámica: Formulas-de-Termodinamica.pdf

9 páginas