@Carolsema

Estudios: Grado en Ciencias Ambientales (UCA) ...Mostrar más

41 Publicaciones

1.16k Interacciones

0 Seguidores

1 Siguiendo

Lista de publicaciones de Carolsema

He publicado nuevos apuntes de 4º tratamiento de la contaminacion atmosferica y acustica: Resumen-acustica-.pdf

24 páginas

He publicado nuevos apuntes de 4º tratamiento de la contaminacion atmosferica y acustica: Resumen-de-legislacion-atmosferica.pdf

22 páginas

He publicado nuevos apuntes de 3º Herramientas de Gestión Ambiental: preguntas-herramientas.pdf

3 páginas

He publicado nuevos apuntes de 3º Bases de la Ingenieria Ambiental: Bases-de-la-ingenieria.pdf

40 páginas

apuntes

-

Apuntes operaciones

He publicado nuevos apuntes de 3º Operaciones Unitarias Para el Tratamiento de Efluentes, Emisiones y Residuos: Apuntes operaciones

Tema-5-de-operaciones.pdf
Operaciones-unitarias.pdf
Operaciones-unitarias-Temas-3D-y-4.pdf

practicas

-

Practicas alazne

He publicado nuevos practicas de 2º Medio Físico: Practicas alazne

Agustin-Santos-y-Carolina-Segundo.docx
Agustin-Santos-y-Carolina-Segundo.xlsx
Practica2resultadosplantilla.xlsx

He publicado nuevos trabajos de 1º Zoología y Botánica: TRABAJO-ZOO.pptx

powerpoint

He publicado nuevos trabajos de 1º Zoología y Botánica: HERBARIO-VIRTUAL-Carolina-y-Ma-Isabel.pptx

Miniatura no disponible
powerpoint

apuntes

-

TAREAS MATES II 2020

He publicado nuevos apuntes de 2º Matemáticas II: TAREAS MATES II 2020

TAREA-1-MATES-II.pdf
tarea-1.pdf
Tarea-3.pdf
tarea-3.pdf
tarea-4.pdf
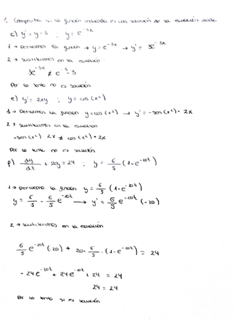
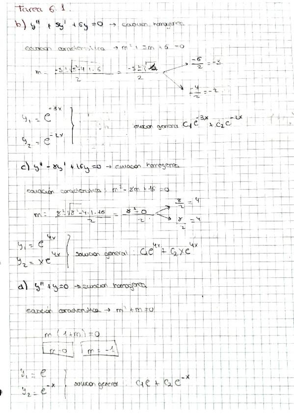
tarea-6.pdf

apuntes

-

Exámenes ecología 2020

He publicado nuevos apuntes de 2º Ecología: Exámenes ecología 2020

2-parcial-de-ecologia-.pdf
3-parcial-ecologia-junio-2020.pdf
EXAM-ECO-Control-3-Ecologia-CCAA-2-junio-2020.pdf
Preguntas-3-parcial-por-temas-2020.docx
Preguntas-del-2-parcial-por-temas-2020-2.docx
Miniatura no disponible
Examen-ecologia-2-parcial.zip

practicas

-

practicas ecología 2020

He publicado nuevos practicas de 2º Ecología: practicas ecología 2020

INFORME-PIGMENTOS.pdf

examenes

-

Exámenes 2020

He publicado nuevos examenes de 1º Física: Exámenes 2020

Cuestionario-1-fisica.pdf
Cuestionario-2.pdf
Examenjunio-fisica.pdf
Miniatura no disponible
Examen-fisica-resuelto.zip

practicas

-

Prácticas ot 2020

He publicado nuevos practicas de 2º Ordenación del Territorio, Urbanismo y Medioambiente: Prácticas ot 2020

Carolina-Segundo.pdf
Conflictos-territoriales.pdf
Evaluacion-del-ecosistema.pdf
isla-valdecanas.pdf
Pinar-y-urbanizacion-Roche.pdf