@carsolarat

331 Publicaciones

9.46k Interacciones

6 Seguidores

0 Siguiendo

Lista de publicaciones de carsolarat

test

-

Cuestionarios Temario

He publicado nuevos test de 2º Genética I: Cuestionarios Temario

Test Unidad 1-Tema 6 Interacción entre genes.docx
Test Unidad 1-Tema 5 Interacción entre alelos.docx
Test Unidad 1-Tema 7 Interacción genotipo-ambiente.docx
Test Unidad 1-Tema 3 Herencia ligada al sexo y pedigrís.docx
Test Unidad 1-Tema 1 Mitosis y Meiosis.docx
Test Unidad 1-Tema 2 Segregación.docx

examenes

-

Exámenes Test

He publicado nuevos examenes de 3º Fisiologia Animal I: Exámenes Test

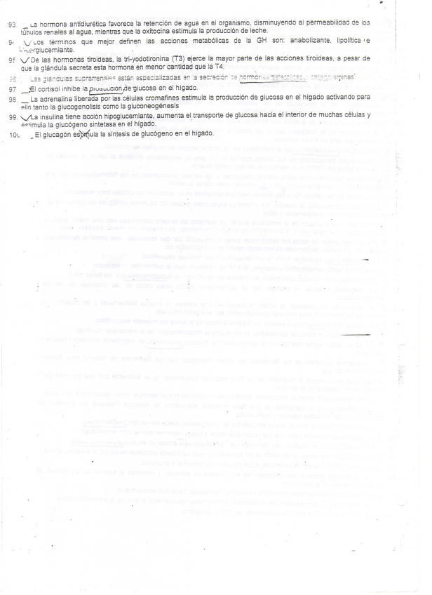
img055.jpg
img047.jpg
img053.jpg
img050.jpg
img049.jpg
img048.jpg

practicas

-

Prácticas Bioquímica

He publicado nuevos practicas de 3º Técnicas en biología celular y molecular: Prácticas Bioquímica

Informe prácticas 3 y 4.docx
Informe prácticas 1 y 2.docx

test

-

Test por Temas

He publicado nuevos test de 3º Genética II: Test por Temas

Test Unidad 1 - Tema 2 Mutaciones Cromosómicas.docx
Test Unidad 4 - Tema 13 Selección natural.docx
Test Unidad 2 - Temas 5 y 6 Clonación y marcadores genéticos.docx
Test Unidad 2 - Tema 8 Genómica.docx
Test Unidad 3 - Tema 12 Mutación y migración.docx
Test Unidad 4 - Temas 14 y 15 Evolución molecular y especiación.docx

ejercicios

-

Cuestiones

He publicado nuevos ejercicios de 3º Fisiología Vexetal i: Cuestiones

Alimentación plantas epífitas.docx
Por qué la subida de humedad relativa baja la evapotranspiración.docx
Plantas carnívoras.docx
Color de las hojas en otoño.docx
Generación de calor en las flores.docx

test

-

Cuestionarios 2014-2015

He publicado nuevos test de 2º Citología y Histología Animal y Vegetal Ii: Cuestionarios 2014-2015

Cuestionario 6 - Meristemos y tejidos fundamentales.pdf
Cuestionario 5 - Muscular y nervioso.pdf
Cuestionario 2 - Conjuntivo y adiposo.pdf
Cuestionario 4 - Sangre y hematopoyesis.pdf
Cuestionario 7 - Conducción y protectores vegetales.pdf
Cuestionario 3 - Cartílago y óseo.pdf

test

-

Cuestionarios 2015-2016

He publicado nuevos test de 2º Citología y Histología Animal y Vegetal Ii: Cuestionarios 2015-2016

Cuestionario 6 - Vegetal.pdf
Cuestionario 5 - Muscular y nervioso.pdf
Cuestionario 4 - Sangre y hematopoyesis.pdf
Cuestionario 2 - Conjuntivo y adiposo.pdf
Cuestionario 1 - Epitelios.pdf
Cuestionario 3 - Cartilago y hueso.pdf

test

-

Cuestionarios Autoev. Microbiología

He publicado nuevos test de 1º Técnicas básicas de laboratorio: Cuestionarios Autoev. Microbiología

Cuestionario 2 de autoevaluación - martes.docx
Cuestionario 1 de autoevaluación - lunes.docx
Cuestionario 6 de autoevaluación - seminarios.docx
Cuestionario 5 de autoevaluación - viernes.docx
Cuestionario 3 de autoevaluación - miércoles.docx
Cuestionario 4 de autoevaluación - jueves.docx

test

-

Cuestiones Test

He publicado nuevos test de 2º Bioquímica II: Cuestiones Test

POSIBLES CUESTIONES TIPO TEST PARA EXAMEN - TEMA 8.docx
POSIBLES CUESTIONES TIPO TEST PARA EXAMEN - TEMA 2.docx
POSIBLES CUESTIONES TIPO TEST PARA EXAMEN - TEMA 7.docx
POSIBLES CUESTIONES TIPO TEST PARA EXAMEN - TEMA 1.docx
POSIBLES CUESTIONES TIPO TEST PARA EXAMEN - TEMA 3.docx
POSIBLES CUESTIONES TIPO TEST PARA EXAMEN - TEMA 5.docx

ejercicios

-

Seminarios

He publicado nuevos ejercicios de 3º Ecología II: Seminarios

Seminario 3 Ecoloxía II.docx
Seminario 2 Ecoloxía II.docx

test

-

Cuestionarios resueltos

He publicado nuevos test de 2º Botánica II: Arquegoniadas: Cuestionarios resueltos

5º CUESTIONARIO (RESOLTO) 2012-2013.pdf
3º CUESTIONARIO (RESOLTO) 2012-2013.pdf
1º CUESTIONARIO (RESOLTO).pdf
3º CUESTIONARIO (RESOLTO).pdf
2º CUESTIONARIO (RESOLTO) 2012-2013.pdf
1º CUESTIONARIO (RESOLTO) 2012-2013.pdf

ejercicios

-

Preguntas por Temas

He publicado nuevos ejercicios de 4º Biotecnología Aplicada a la Producción Microbiana: Preguntas por Temas

Tema 1.docx
Tema 9.docx
Tema 2.docx
Tema 4.docx
Tema 8.docx
Tema 7.docx

test

-

Test Autoevaluación

He publicado nuevos test de 3º Inmunología y Parasitología: Test Autoevaluación

Test de Autoevaluación 7 - La generación de la diversidad de los linfocitos B y T.docx
Test de Autoevaluación 8 - Las moléculas presentadoras de antígeno.docx
Test de Autoevaluación 3 - El complemento. Ligandos y receptores.docx
Test de Autoevaluación 1 - Introducción a la Inmunología.docx
Test de Autoevaluación 5 - Los fagocitos y sus receptores.docx
Test de Autoevaluación 4 - Los anticuerpos. Ligandos y receptores.docx

test

-

Test-Controles

He publicado nuevos test de 3º Fisiología Animal II: Test-Controles

Test-Control Fisiología Animal II - Sistemas digestivo y reproductor.pdf
Test-Control Fisiología Animal II - Sistema circulatorio.pdf
Test-Control Fisiología Animal II - Sistemas respiratorio y excretor.pdf

ejercicios

-

Cuestionarios

He publicado nuevos ejercicios de 2º Microbiología I: Cuestionarios

img008.jpg
img006.jpg
img005.jpg
img004.jpg
img007.jpg
img002.jpg