@Caru_

Estudios: Grado en Marketing (UA) ...Mostrar más

Bio: Apuntes

24 Publicaciones

104 Interacciones

0 Seguidores

9 Siguiendo

Lista de publicaciones de Caru_

apuntes

-

Resumenes

He publicado nuevos apuntes de 3º Política Económica y de la Unión Europea: Resumenes

T6-politica-comercial.pdf
T4-politica-monetaria.pdf
T5-Politica-fiscal.pdf

apuntes

-

Apuntes/Resúmenes Teoría

He publicado nuevos apuntes de 3º Comunicación en Marketing: Apuntes/Resúmenes Teoría

t6.pdf
t7.pdf
t1.pdf
t2.pdf
t3.pdf
t4.pdf

apuntes

-

Apuntes - Práctica 1 (Dyane)

He publicado nuevos apuntes de 3º Comunicación en Marketing: Apuntes - Práctica 1 (Dyane)

Resumen-Dyane.pdf

apuntes

-

Práctica 2 (excel): selección de medios y soportes (T5.3)

He publicado nuevos apuntes de 3º Comunicación en Marketing: Práctica 2 (excel): selección de medios y soportes (T5.3)

Resumen-Criterios-Formulas.pdf

apuntes

-

Apuntes - Temario 1er bloque (T0-5: estadística)

He publicado nuevos apuntes de 2º Estadística e Introducción a la Econometría: Apuntes - Temario 1er bloque (T0-5: estadística)

Resumen-distribuciones-formulas--excel.pdf
Resumen-Estadistica-T1-5.pdf

apuntes

-

Temario (Resumen Libro)

Temario

T4.-Analisis-Interno.pdf
T5.-Estrategias-y-Ventajas-Competitivas.pdf
T.3A.-Entorno-General.pdf
T.3B.-Entorno-Competitivo.pdf
T2.-Orientacion.pdf
T1.-La-Naturaleza-de-la-Dir.Estrategica.pdf

apuntes

-

Temario 2º Bloque

He publicado nuevos apuntes de 2º Estadística e Introducción a la Econometría: Temario 2º Bloque

Tema-7.pdf
Tema-6.pdf
Tema-8.pdf

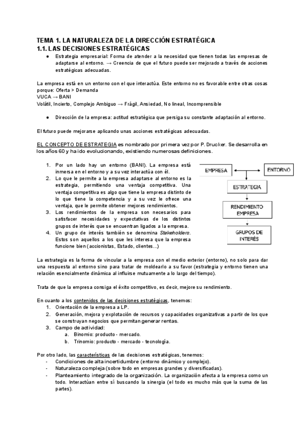
T1 - 11

11 páginas