@Ccla

11 Publicaciones

104 Interacciones

0 Seguidores

0 Siguiendo

Lista de publicaciones de Ccla

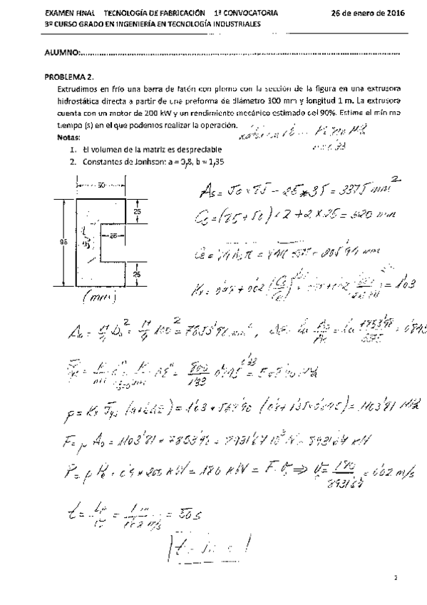
He publicado nuevos examenes de 4º Tecnología de Fabricación: Ejemplo de examen de problemas.pdf

4 páginas

He publicado nuevos apuntes de 4º Proyectos: Ejercicio camino crítico.pdf

pdf

He publicado nuevos apuntes de 4º Proyectos: TEORÍA PROYECTOS.docx

word

He publicado nuevos apuntes de 2º Teoría de Máquinas y Mecanismos: LibroToMcompleto(2)_7243409.pdf

521 páginas

He publicado nuevos examenes de 4º Tecnología de Fabricación: PROBLEMAS DE EXAMEN RESUELTOS MECANIZADO FEB 2013.pdf

6 páginas

He publicado nuevos examenes de 4º Tecnología de Fabricación: Examenes_2007-08_CuestionesResueltas.pdf

22 páginas

He publicado nuevos test de 4º Proyectos: TEST.docx

word

He publicado nuevos test de 4º Proyectos: test (2).docx

word

He publicado nuevos examenes de 4º Tecnología de Fabricación: Problemas 1ª Convocatoria 2015-16 Resueltos(1).pdf

5 páginas

He publicado nuevos test de 4º Tecnología de Fabricación: TEST FABRICACIÓN.docx

word

He publicado nuevos examenes de 4º Proyectos: EXAMEN PROYECTOS junio 2014.docx

word