@Celsius_456

12 Publicaciones

1.79k Interacciones

0 Seguidores

1 Siguiendo

Lista de publicaciones de Celsius_456

examenes

-

Dinámica de Gases

He publicado nuevos examenes de 4º Ingeniería Fluidomecánica: Dinámica de Gases

Cuestiones-Examen-DG-Por-Ano.pdf
Cuestiones-Examen-DG-Por-Tema.pdf

He publicado nuevos apuntes de 4º Ingeniería Fluidomecánica: Formulario-Maquinas-Hidraulicas.pdf

5 páginas

apuntes

-

Pack DEFINITIVO exámenes resueltos

He publicado nuevos apuntes de 3º Organización y Gestión de Empresas: Pack DEFINITIVO exámenes resueltos

00.pdf
Miniatura no disponible
Examenes.rar

Se vende libro empresa

Vendo libro empresa 3ª edición (creo). MUY barato (o lo quemo). Interesados a: abian.aguilar@gmail.com

Se vende libro mecánica fluidos

Libro del departamento. Como nuevo. Precio 30% de lo que vale nuevo. Interesados a: abian.aguilar@gmail.com

apuntes

-

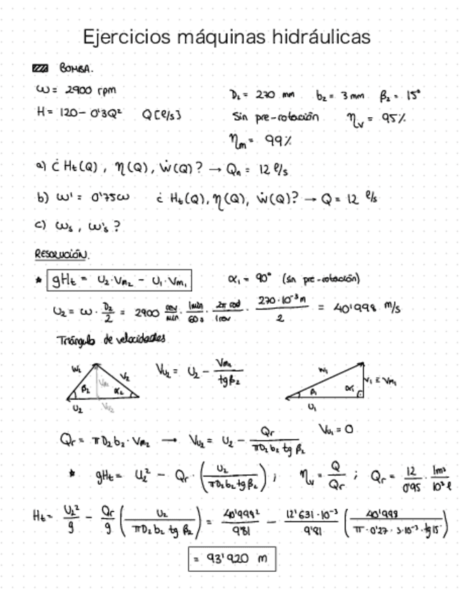
Máquinas Hidraulicas

He publicado nuevos apuntes de 4º Ingeniería Fluidomecánica: Máquinas Hidraulicas

Examenes-Maquinas-Hidraulicas.pdf
MH-Cuestiones.pdf

He publicado nuevos apuntes de 3º Tecnologías del Medio Ambiente: Formulario-V1.pdf

8 páginas

He publicado nuevos apuntes de 3º Bases para El Diseño de Sistemas Mecánicos: Formulario.pdf

8 páginas

Resolucion de la tarea 2 para el Circuito III. Todas las formulas despejadas y las gráficas.

3 páginas

He publicado nuevos apuntes de 2º Electrónica General: Formulario Teoria 1.pdf

2 páginas

Solucionario de la práctica 3. Seguir los pasos y rellenar. Con imagenes y los modelos de MATLAB.

5 páginas