@cerocinco_2005

Estudios: Grado en Ingeniería Química (URJC) ...Mostrar más

40 Publicaciones

710 Interacciones

1 Seguidores

0 Siguiendo

Lista de publicaciones de cerocinco_2005

He publicado nuevos examenes de 2º Experimentación en Ingeniería Química I: TEST-SEGURIDAD-E-HIGIENE-EN-LABORATORIOS-RESUELTO.pdf

2 páginas

examenes

-

Exámenes resueltos 2024/2025

Enunciados y soluciones de examen parcial (1º parte), examen enero (dos partes) y examen junio (dos partes). Curso 2024/2025. Profesor: Javier Pello.

Convocatoria-ordinaria-Enunciados-y-Soluciones.-20242025.pdf
Convocatoria-extraordinaria-Enunciados-y-Soluciones.-20242025.pdf
Parcial-1-Enunciados-y-Soluciones.-20242025.pdf

apuntes

-

Seminarios y Online Solucionario 2024/2025

He publicado nuevos apuntes de 2º Química Física: Seminarios y Online Solucionario 2024/2025

Online-12-solucion-2024.pdf
Online-34-solucion-2024.pdf
Seminario-1-solucion-2024.pdf
Seminario-3-solucion-2024.pdf

He publicado nuevos apuntes de 2º Química Analítica: Formulas-Segunda-Parte-Temas-6-9-.pdf

4 páginas

Enunciados y soluciones del examen de Oibar 2025 (realizado en otro grado)

3 páginas

Apuntes, ejercicios de ejemplos y trucos de repaso de la profesora Oibar 2025

23 páginas

He publicado nuevos apuntes de 2º Ingeniería de Fluidos: Ecuaciones-de-conservacion.pdf

7 páginas

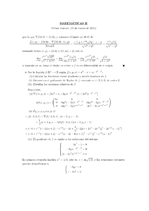
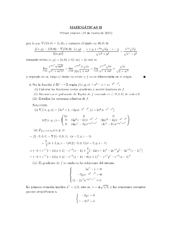
He publicado nuevos examenes de 1º Matemáticas II: Primer-examen-Matematicas-II.pdf

3 páginas

He publicado nuevos apuntes de 1º Matemáticas II: Teoria-y-ejemplos.pdf

30 páginas

He publicado nuevos apuntes de 1º Matemáticas II: Teoria-y-ejemplos.pdf

30 páginas

He publicado nuevos examenes de 1º Expresión Gráfica: Examen-junio-de-2024.pdf

6 páginas

He publicado nuevos examenes de 1º Expresión Gráfica: Examen-de-diciembre-2023.pdf

6 páginas

He publicado nuevos apuntes de 1º Expresión Gráfica: Tratamiento-de-purines-Diagrama-de-flujo.pdf

1 página

apuntes

-

Seminario 4 (resuelto). Curso 2023/2024

He publicado nuevos apuntes de 1º Informática Aplicada: Seminario 4 (resuelto). Curso 2023/2024

Seminario4.pdf
Miniatura no disponible
cinetica.txt
Miniatura no disponible
coefR2.m
Miniatura no disponible
EjCineticas.m

apuntes

-

Caso Práctico 2 (resuelto). Curso 2023/2024

He publicado nuevos apuntes de 1º Informática Aplicada: Caso Práctico 2 (resuelto). Curso 2023/2024

Caso-Practico-II.pdf
Miniatura no disponible
arrastre.m
Miniatura no disponible
CasoPracticoII.m
Miniatura no disponible
DensT.m
Miniatura no disponible
ParamDens.txt
Miniatura no disponible
ParamVisc.txt

He publicado nuevos apuntes de 1º Química Orgánica: Ejercicios-de-examen-con-soluciones.pdf

9 páginas

He publicado nuevos apuntes de 1º Química Orgánica: Alcanos-alquenos-y-alquinos.pdf

4 páginas

He publicado nuevos examenes de 1º Matemáticas II: Examen-final-extraordinaria.pdf

1 página

He publicado nuevos examenes de 1º Matemáticas II: Examen2024-convocatoria-extraordinaria.pdf

1 página

He publicado nuevos examenes de 1º Matemáticas II: Examenes-2023-2024.pdf

5 páginas