@CeroDudas
Bio: Estudiante de Ingeniería Mecánica en la Escuela Técnica de Ingeniería y Diseño Industrial de la UPM. Intento hacer apuntes de clase de manera sencilla. APUNTES FRESCOOOS!!
54 Publicaciones
1.26k Interacciones
12 Seguidores
0 Siguiendo
Lista de publicaciones de CeroDudas
🚀 ¡Maximiza tu potencial en Teoría de Máquinas y Mecanismos con los apuntes más avanzados! 🚀 ¿Estás listo para elevar tu comprensión de la Teoría de Máquinas y Mecanismos al siguiente nivel? ¡Presentamos los apuntes más completos y detallados sobre el criterio de Kutzbach-Gruebler, diseñados especialmente para ti ;)
¿Estás listo para llevar tus estudios de ingeniería térmica al siguiente nivel? El curso ya ha comenzado ¡y nosotros tenemos justo lo que necesitas! 📚 Nuestros apuntes sobre TEMA 1 Motores Térmicos ya se encuentran disponibles en nuestro perfil. NO DUDES EN VISITARLOS!!

Teoría simple sacada de las diapositivas, y apuntes muy gráficos
apuntes
-
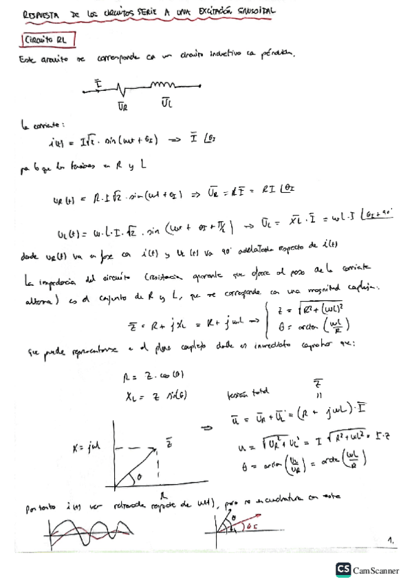
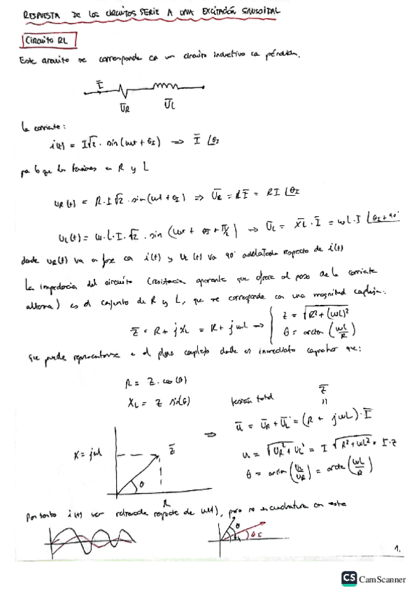
CA MONOFÁSICA
Apuntes a mano, se realizarán unos apuntes iguales pero a ordenador y más imágenes representativas, de momento sólo tenemos esto
APUNTES RÁPIDOS DE CA MONOFÁSICA LISTOOS!!!
Sacados del libro de la asignatura, y simplificando bastante las cosas, he ido separando los PDF por los pasitos a seguir para entenderlo bien. Si necesitáis algo más pedir :) A darle caña a esos fasoreees!! CeroDudas.
Tarjetas para leer en menos de un minuto y crear un mapa mental sobre como diseñamos instalaciones. Para que no nos quedemos en blanco en el examen!!!
APUNTES DE INTRODUCCIÓN A BOMBAS ;)
No pierdas más tiempo tratando de entender conceptos complejos por tu cuenta. Obtén nuestros apuntes de introducción al cálculo de bombas hidráulicas ahora mismo en Wuolah y toma el control de tus estudios de instalaciones. La vía rápida puede ser buena opción. CeroDudas.
Apuntes simples, interactivos, .... y de colores!!
Apuntes de elementos de Instalaciones LISTOS!!
Son bastante parecidos a las diapositivas, pero están hechos a formato folio para ahorrarte tiempo pasando páginas, y concentrarte mejor. Además, el morado hace que te centres más en el tema en cuestión, y a la hora de memorizar y recordar te sea más fácil distinguir el contenido de la asignatura. Mucha suerte para el viernes! CeroDudas.
Apuntes simples, interactivos, .... y de colores!! cabe decir que son bastante similares a los de las diapositivas, lo único que en formato folio y con un color de fondo para mantener el foco d atención
2,3,4 y 5 CROQUIS SUBIDOOS!!
¿Quieres estar seguro de que tus apuntes son los mejores posibles? ¡Adquiere nuestros documentos de croquis de piezas mecánicas en Wuolah hoy mismo y lleva tus habilidades de dibujo técnico al siguiente nivel! Esta es la publicación 33 de CeroDudas. Un momento, ¿CÓMO 33?
Tema 2 ya está READY!!
¿Te cuesta entender los conceptos de dimensionado de instalaciones industriales y en edificios de agua fría? ¿Necesitas apuntes claros, precisos y fáciles de entender para aprobar tus exámenes? ¡No busques más! Fácil y sencillo, CeroDudas.





